Bezpečnejšie je používať HTTPS namiesto http!
Hlavná stránka
Fotky
2006
Berlín
Francúzko
2007
Poľsko
2008
Viedeň
2009
Anglicko
Rím
2010
Litva
Poľsko
2011
Taliansko
Poľsko
2012
Írsko
2013
2014
Dánsko
Uploady
Programovanie
Škola
2007/2008 - 1.B6
2008/2009 - 2.B6
2009/2010 - 3.B6
2010/2011 - 4.B6
Angličtina
Biologia
Dejepis
Fyzika
Geografia
Chémia
Matematika
Nemčina
Náuka o spoločnosti
Slovenčina a Literatúra
2011/2012 - 5.B6
Angličtina
Biologia
Chémia
Fyzika
Matematika
Nemčina
Náuka o spoločnosti
Seminár Fyzika
Seminár Informatika
Seminár Matematika
Seminár Slovenčina
Slovenčina a Literatúra
Triednicka hodina
2012/2013 - 6.B6
Angličtina
Angličtina Konverzacia
Informatika
Matematika
Nemčina
Náuka o Spoločnosti
Seminár Informatika
Seminár Matematika
Slovenčina
Triednicka
Krúžok matematika (Be.)
2016 - VIA
ALI1
SMPI1
Kniha Návštev
Blog
Infantylný kútik
Ankety
54.173.35.129
20.9.2017 Streda
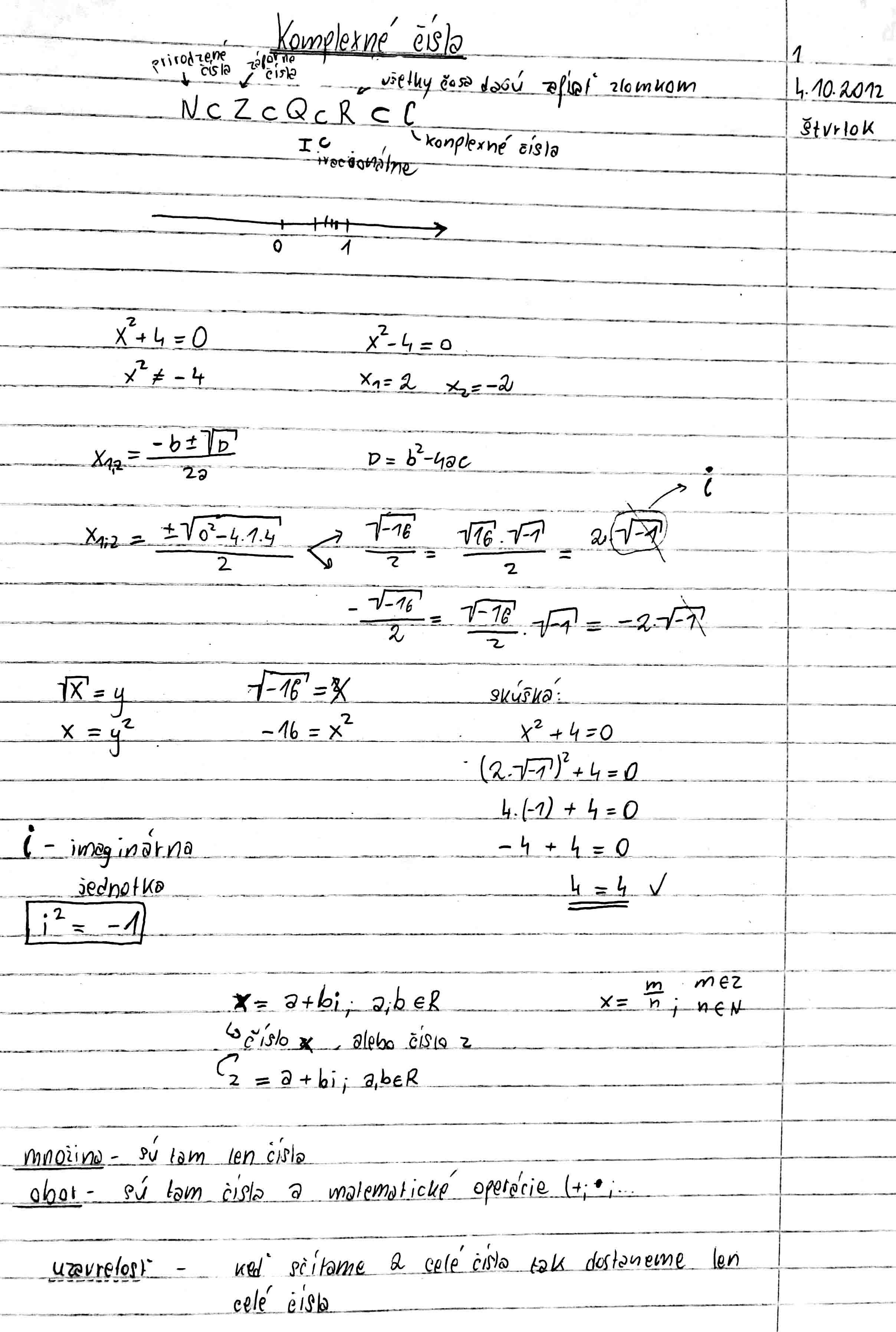
(1) 4.10.2012 Štvrtok
Kopmplexné čísla
- i; množina; obor
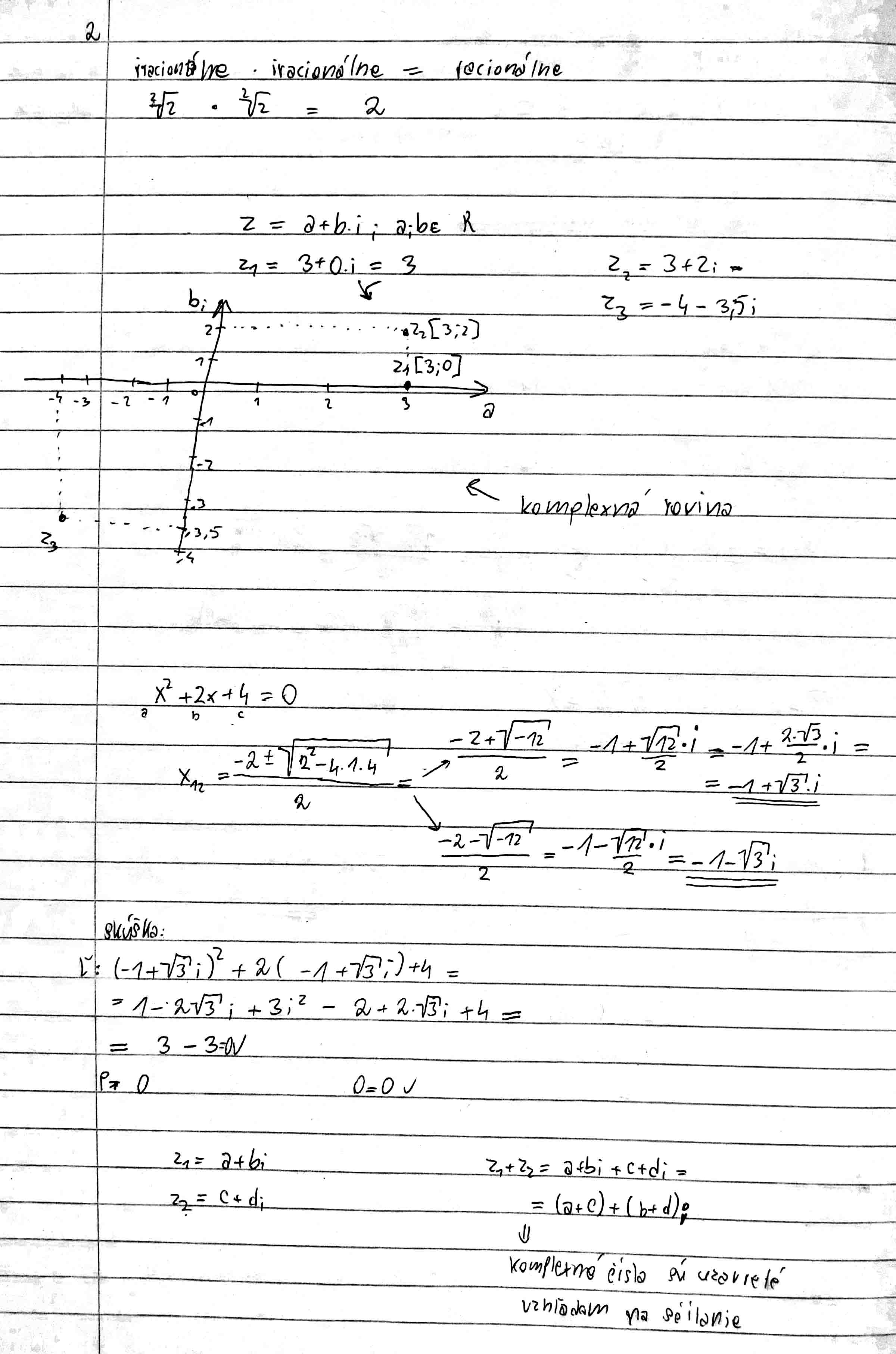
(2) 4.10.2012 Štvrtok
- komplexná rovina, sčítavanie
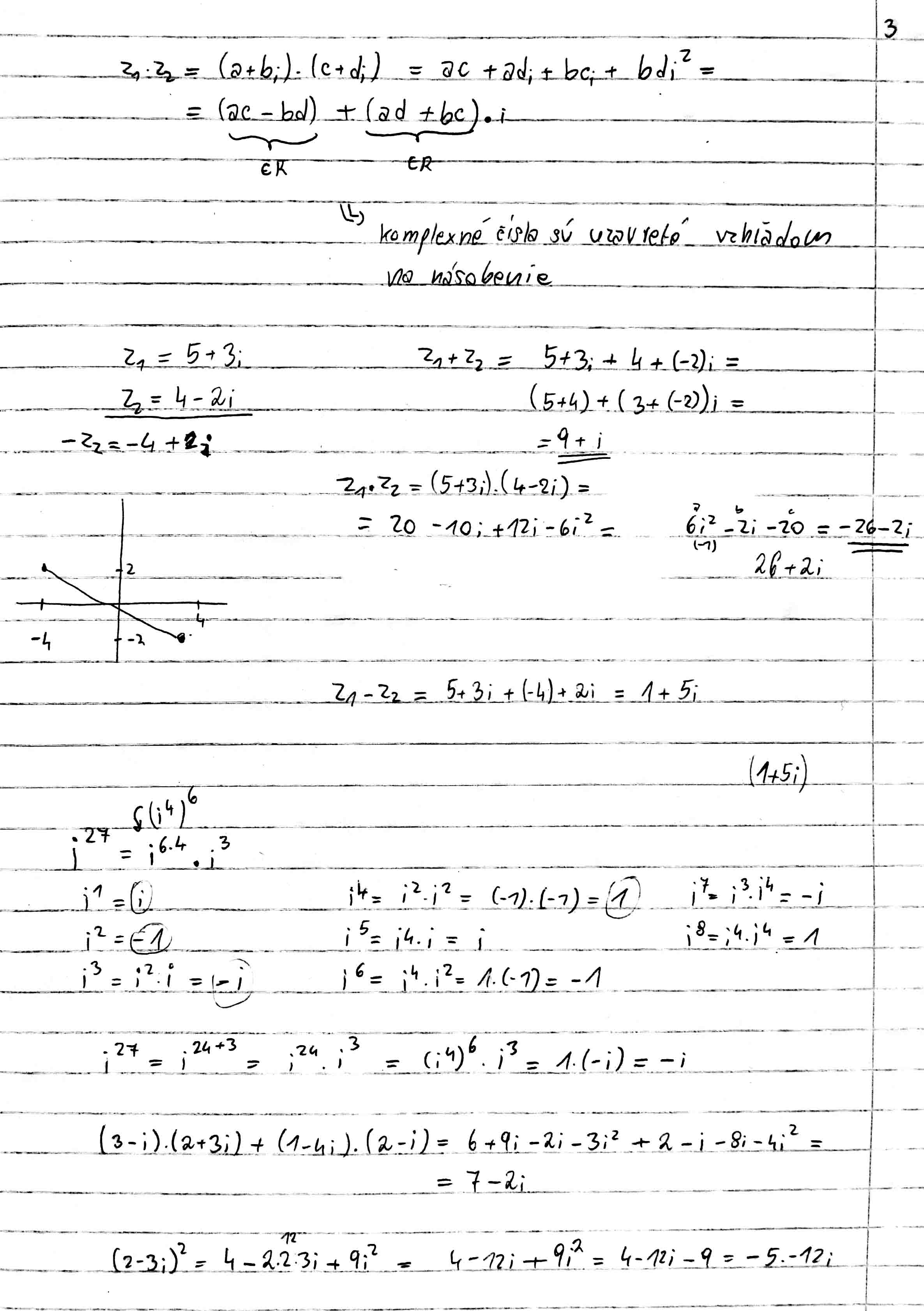
(3) 4.10.2012 Štvrtok
- násobenie
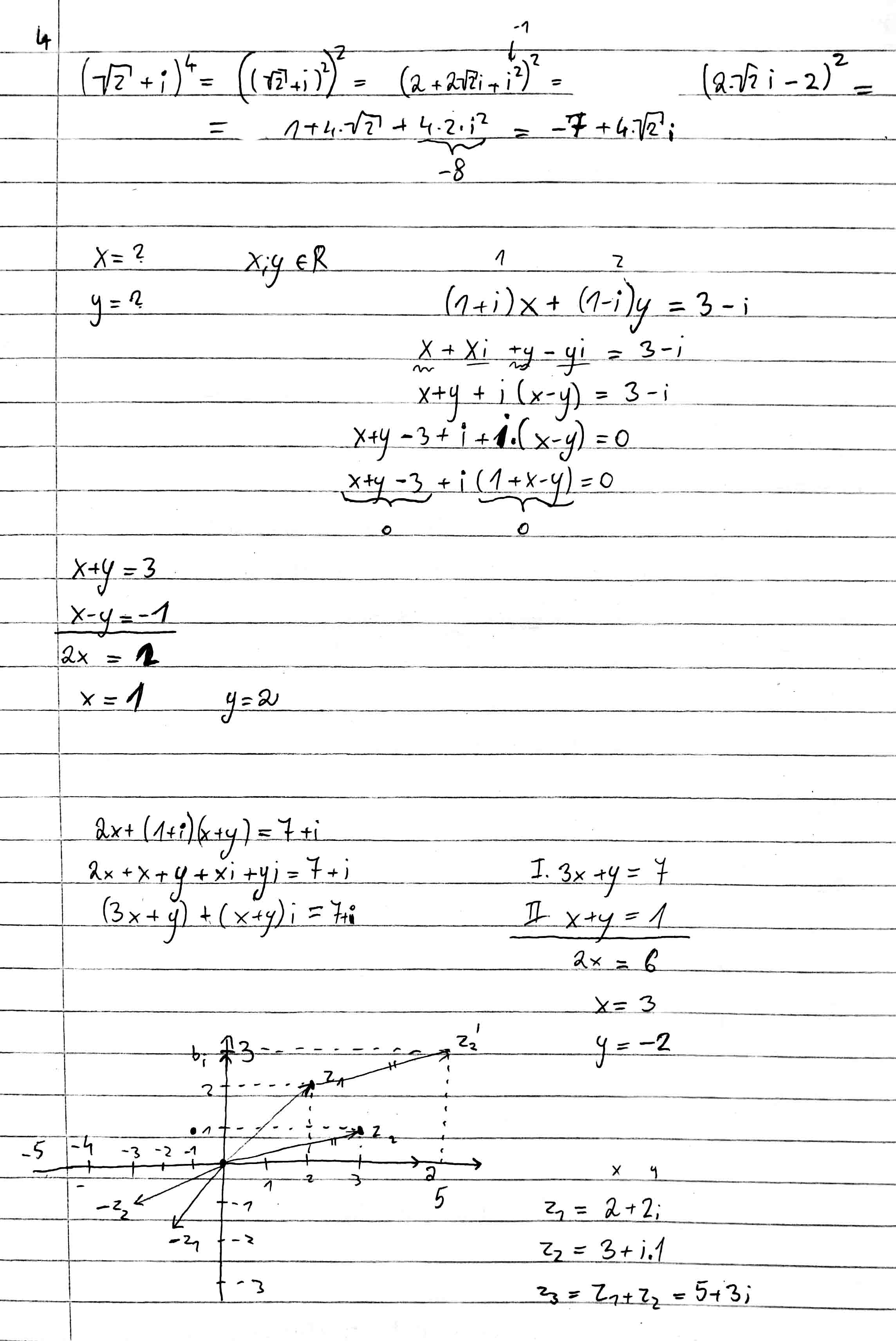
(4) 4.10.2012 Štvrtok
- príklady
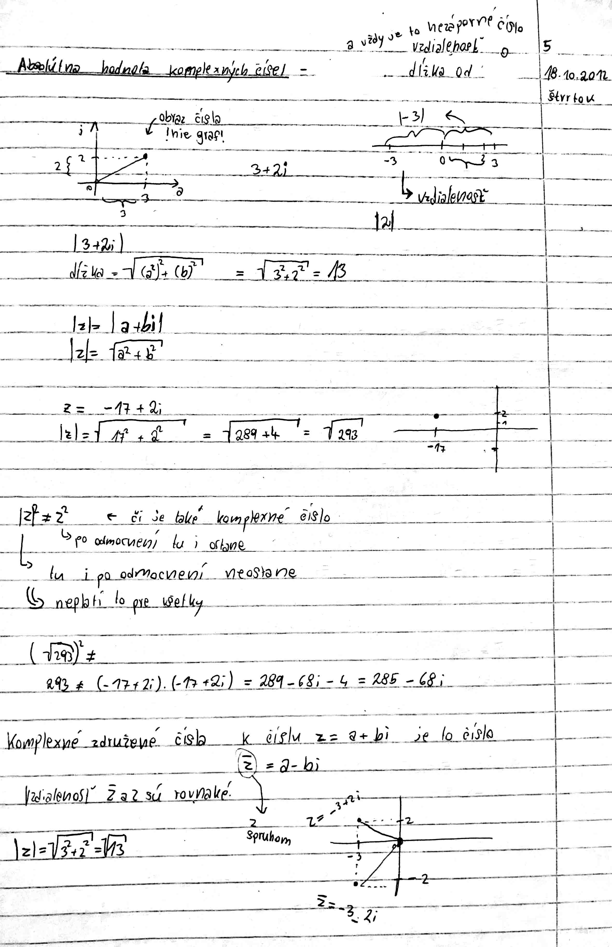
(5) 18.10.2012 Štvrtok
- absolútna hodnota C, komplexné združené čísla
(6) 18.10.2012 Štvrtok
- komplexné združené čísla
(7) 18.10.2012 Štvrtok
- príklady a dôkazi
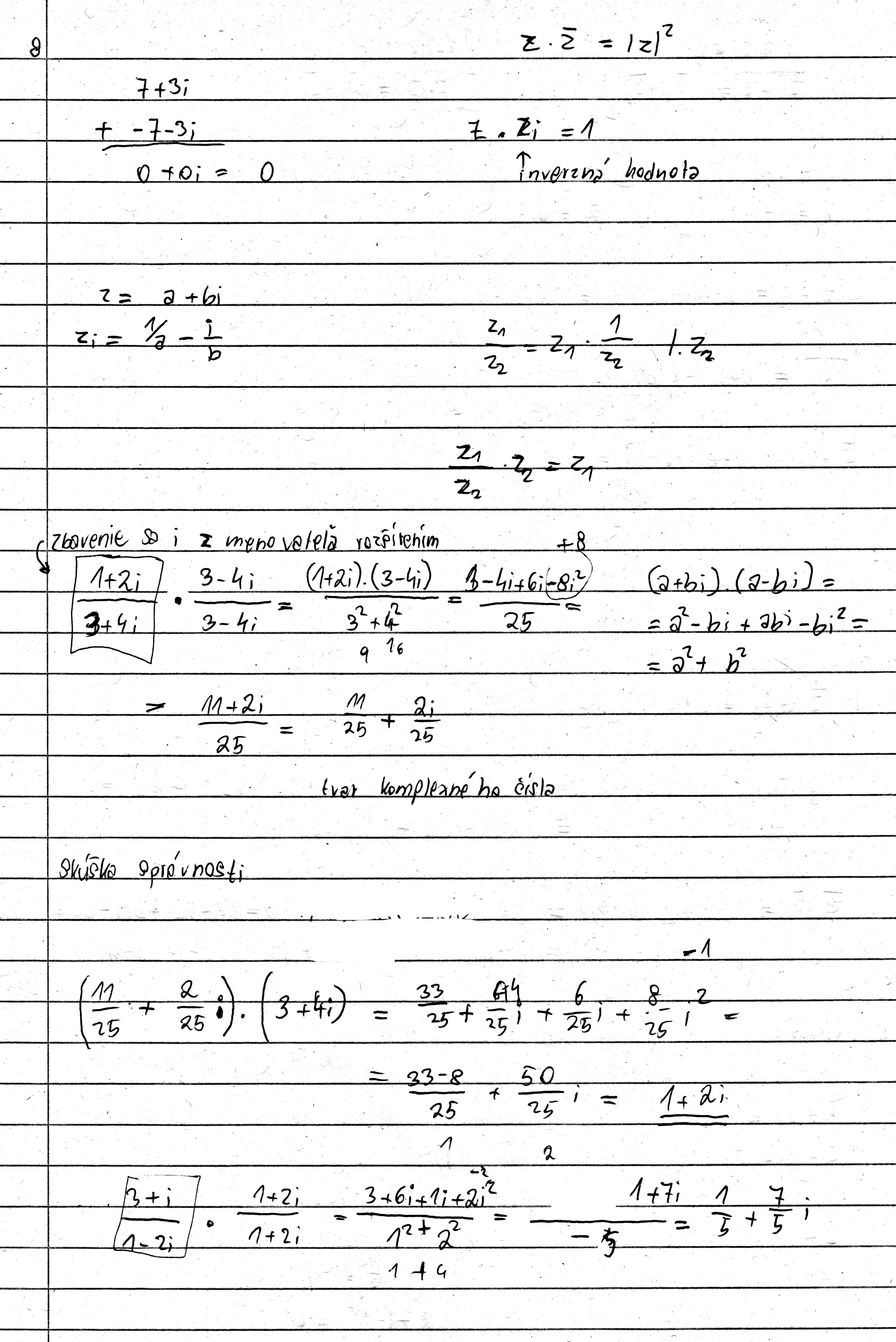
(8) 25.10.2012 Štvrtok
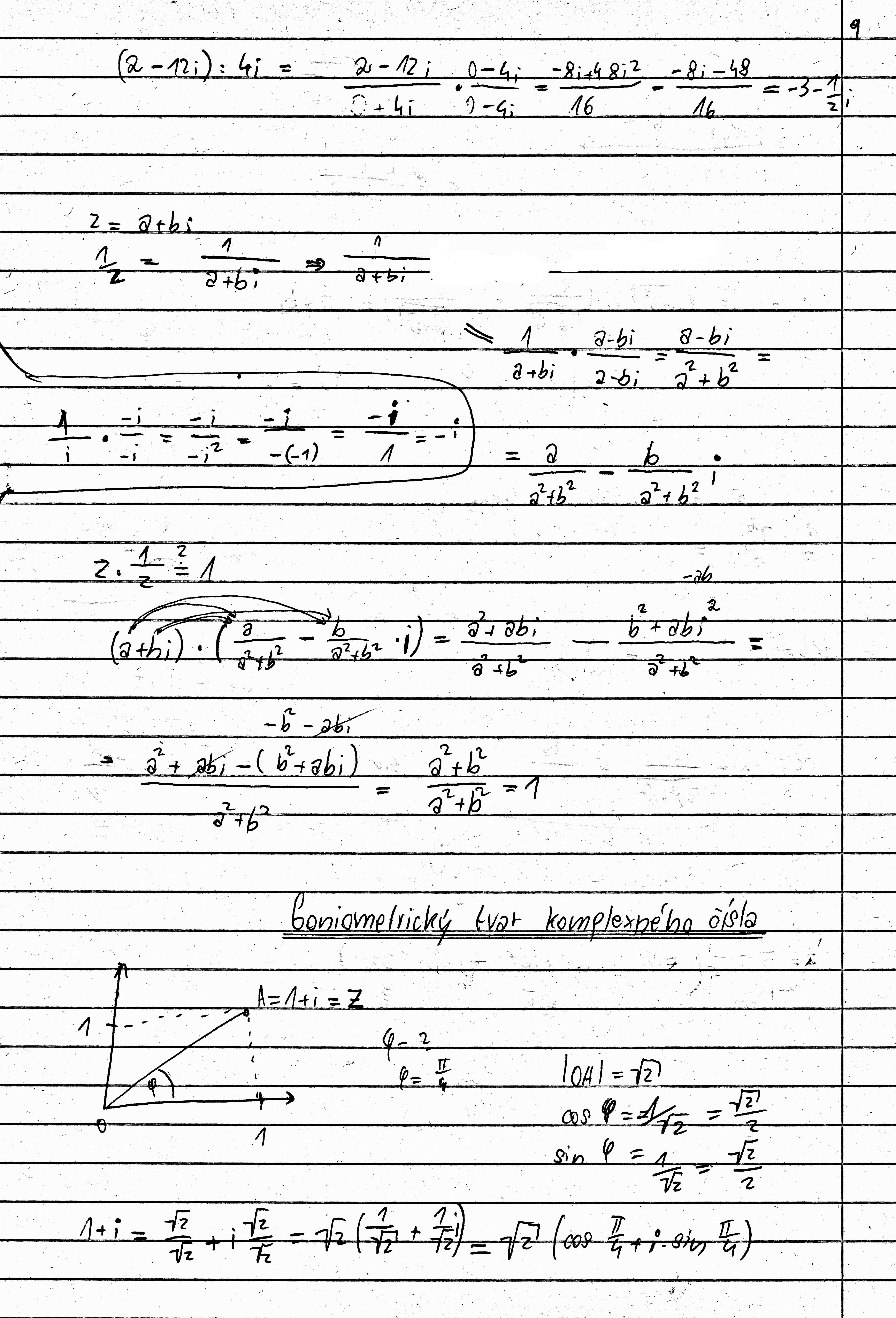
- podstránenie i z menovateľa
(9) 25.10.2012 Štvrtok
Goniometrický tvar komplexného čísla
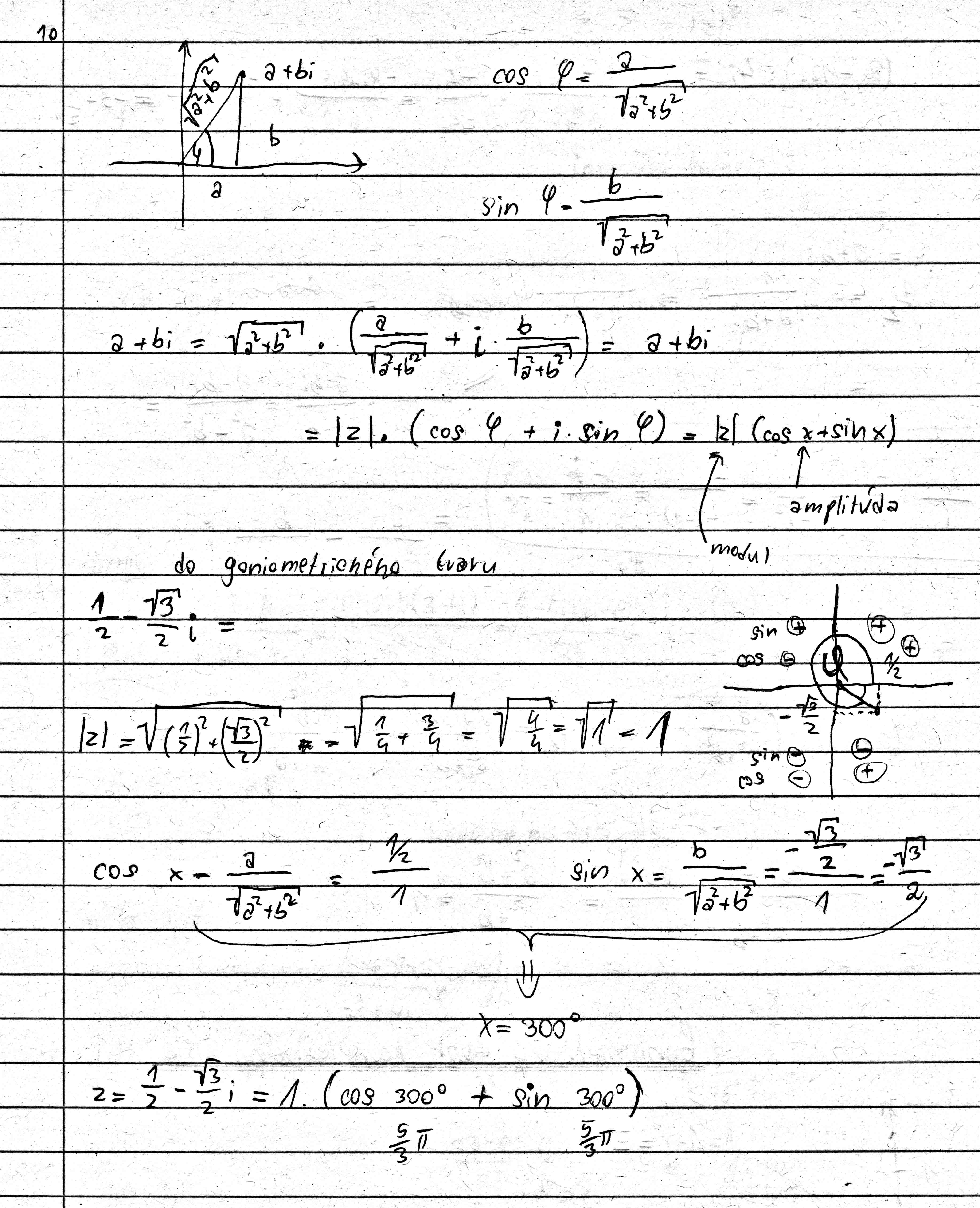
(10) 25.10.2012 Štvrtok
- komplexné číslo do goniometrického tvaru
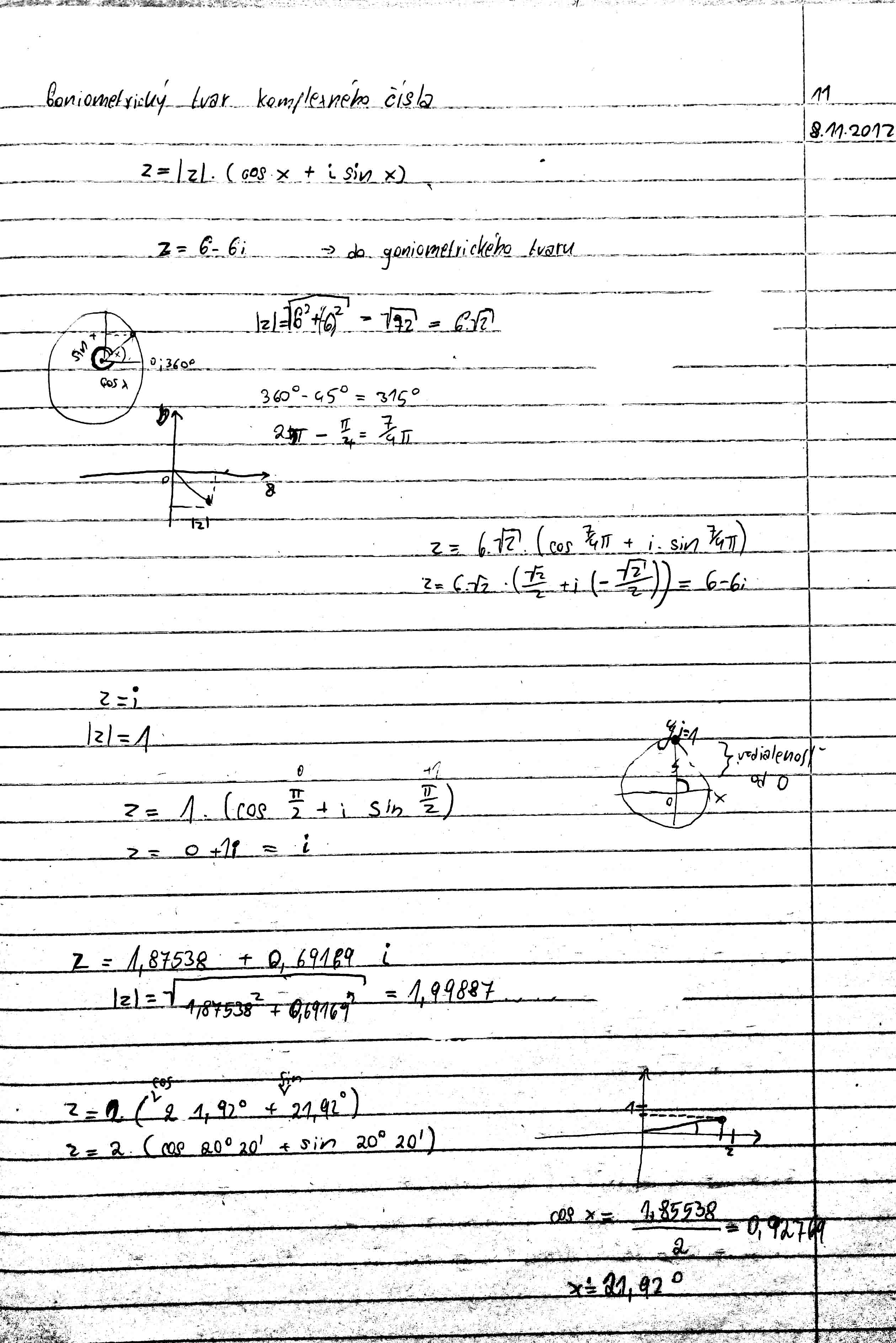
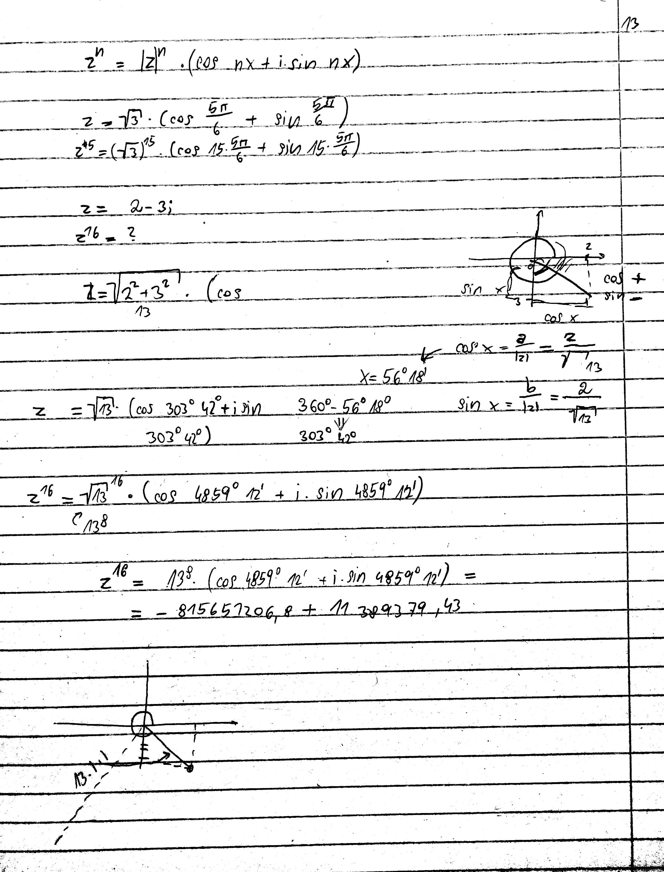
(11) 8.11.2012 Štvrtok
- komplexné číslo do goniometrického tvaru
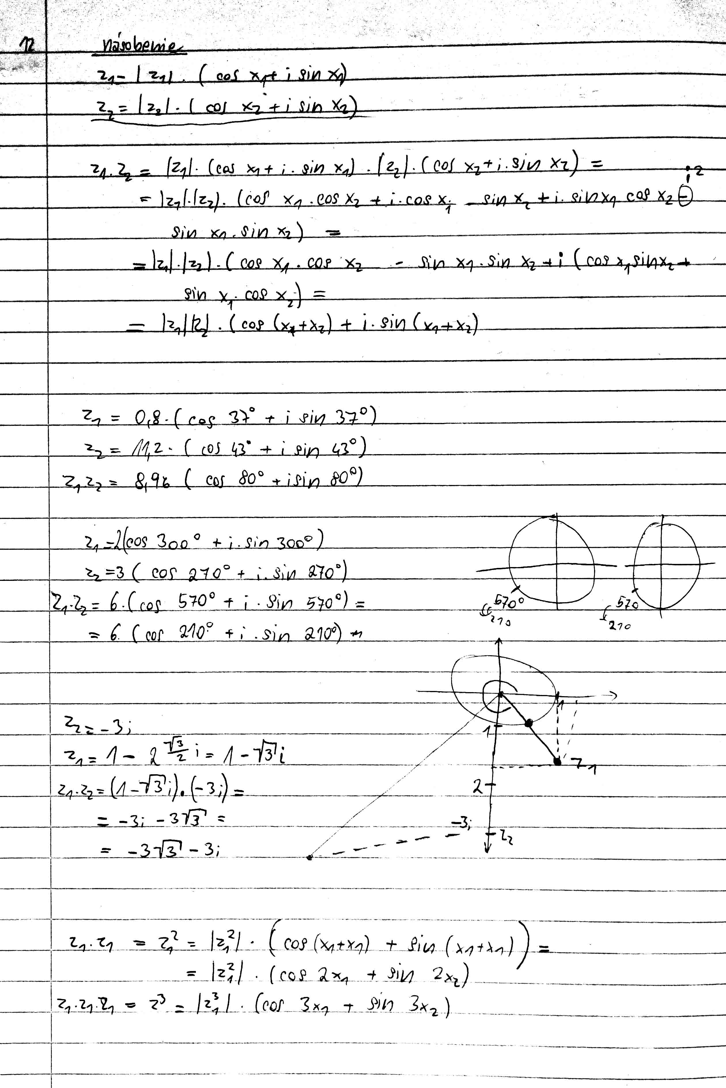
(12) 8.11.2012 Štvrtok
- násobenie
(13) 8.11.2012 Štvrtok
- násobenie
(14) 15.11.2012 Štvrtok
Matice
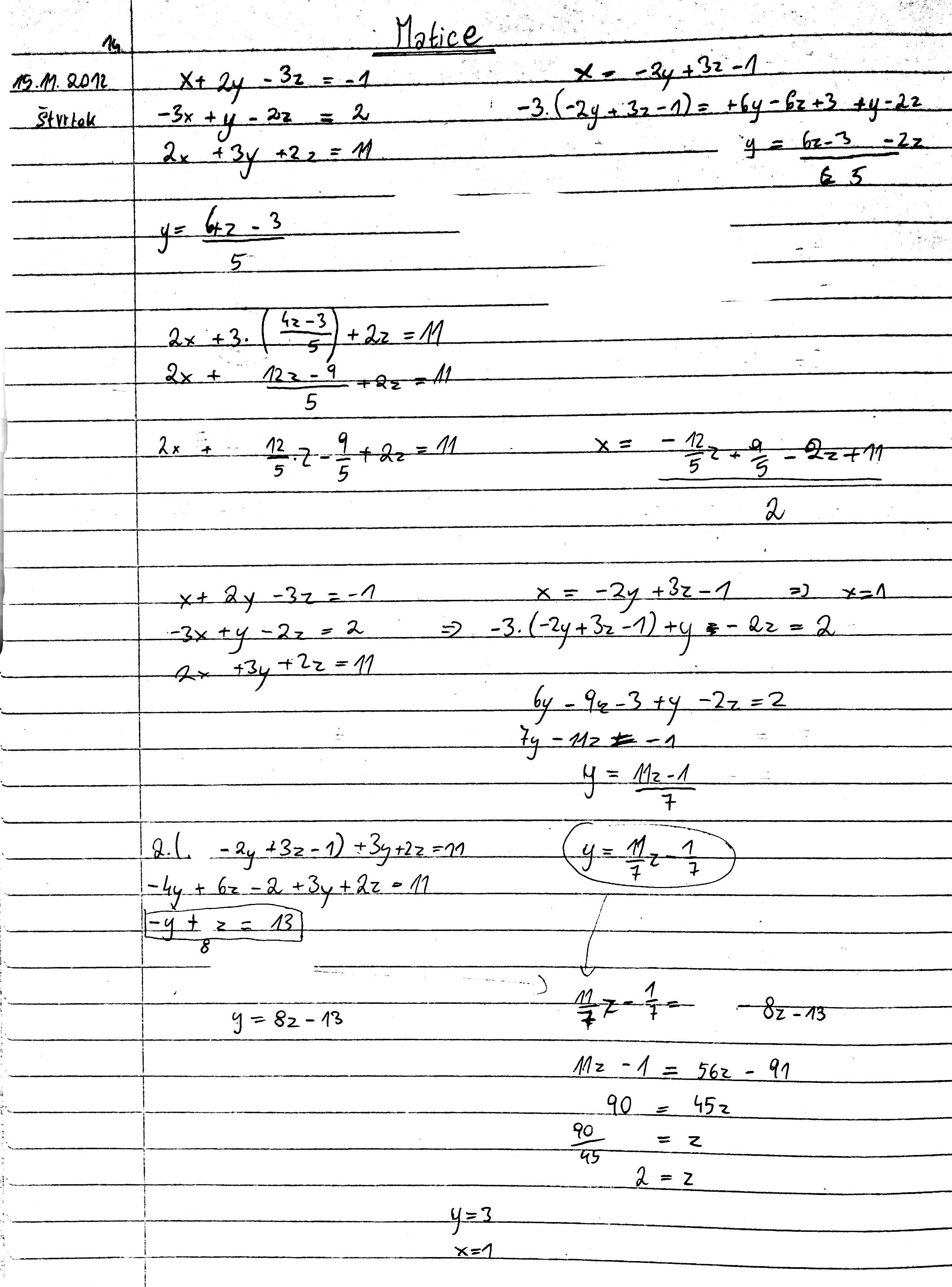
(15) 15.11.2012 Štvrtok
- príklady
(16) 15.11.2012 Štvrtok
- príklady
(17) 15.11.2012 Štvrtok
- príklady
(18) 13.12.2012 Štvrtok
Limity
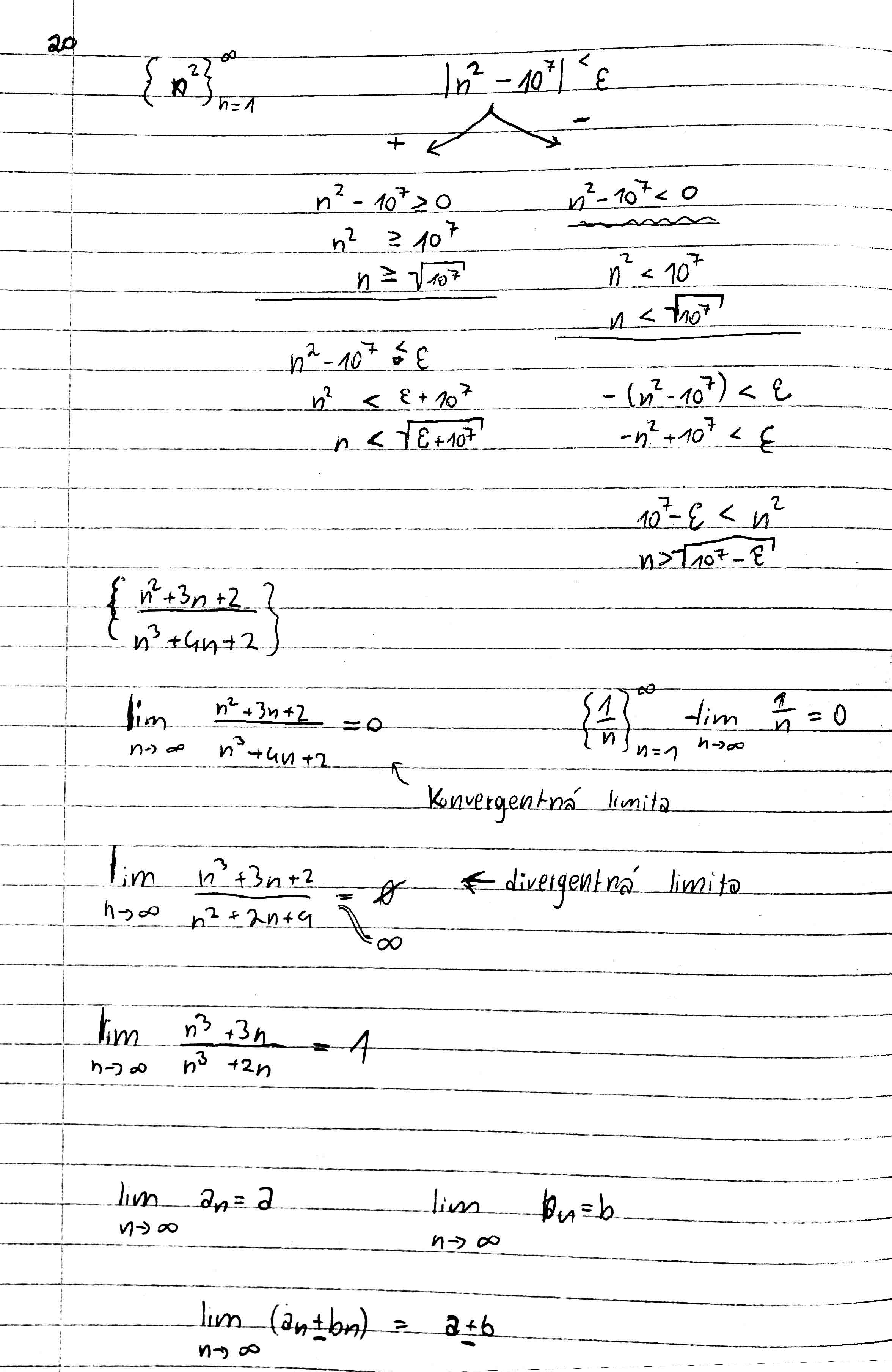
(19) 13.12.2012 Štvrtok
- príklady
(20) 13.12.2012 Štvrtok
- príklady
(21) 13.12.2012 Štvrtok
- príklady
(22) 24.1.2013 Štvrtok
- okolie bodu
(23) 24.1.2013 Štvrtok
Derivácia
(24) 20.2.2013 Štvrtok
Derivácie elementárnych funkcií
(25) 20.2.2013 Štvrtok
- príklady
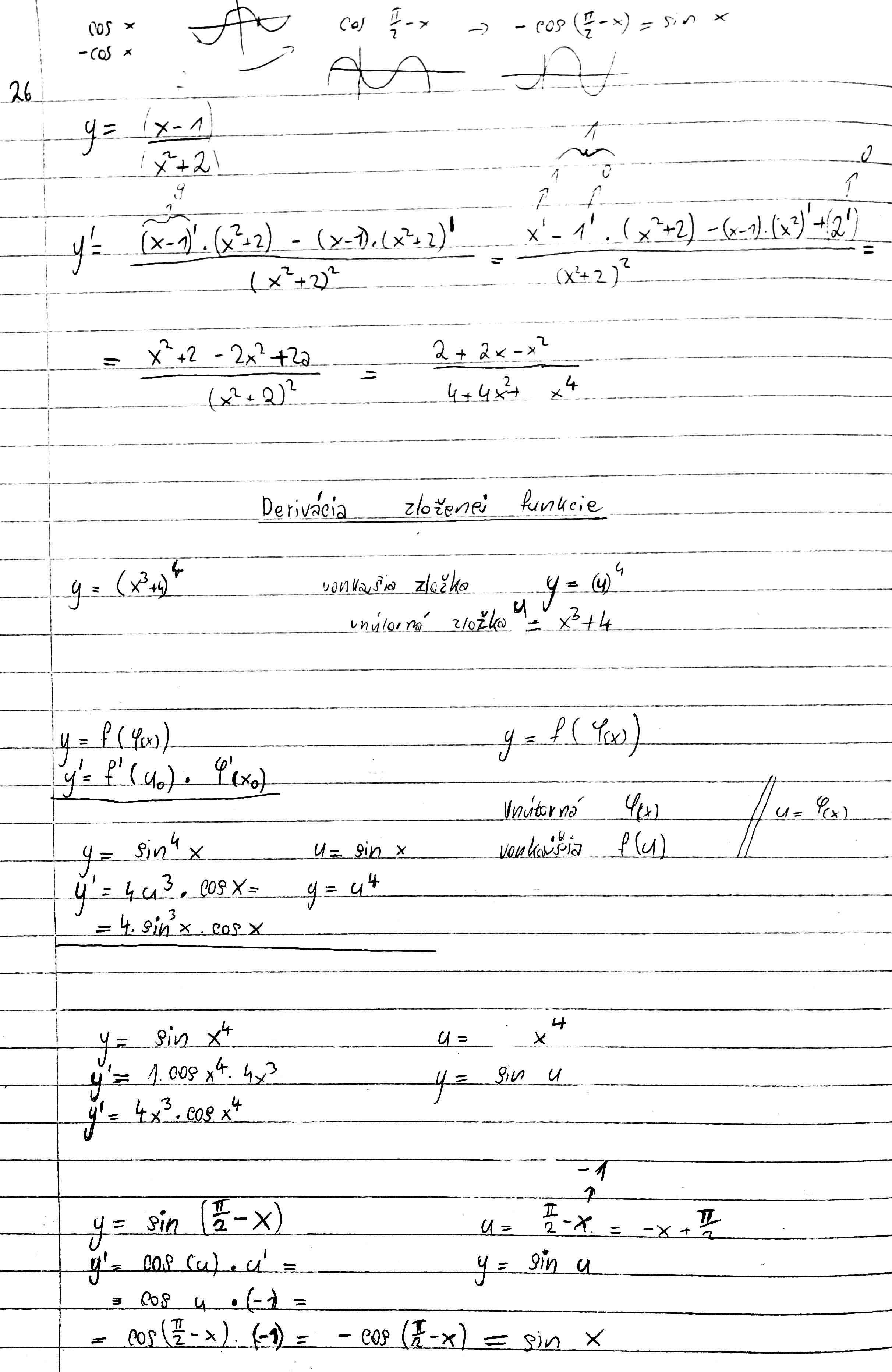
(26) 20.2.2013 Štvrtok
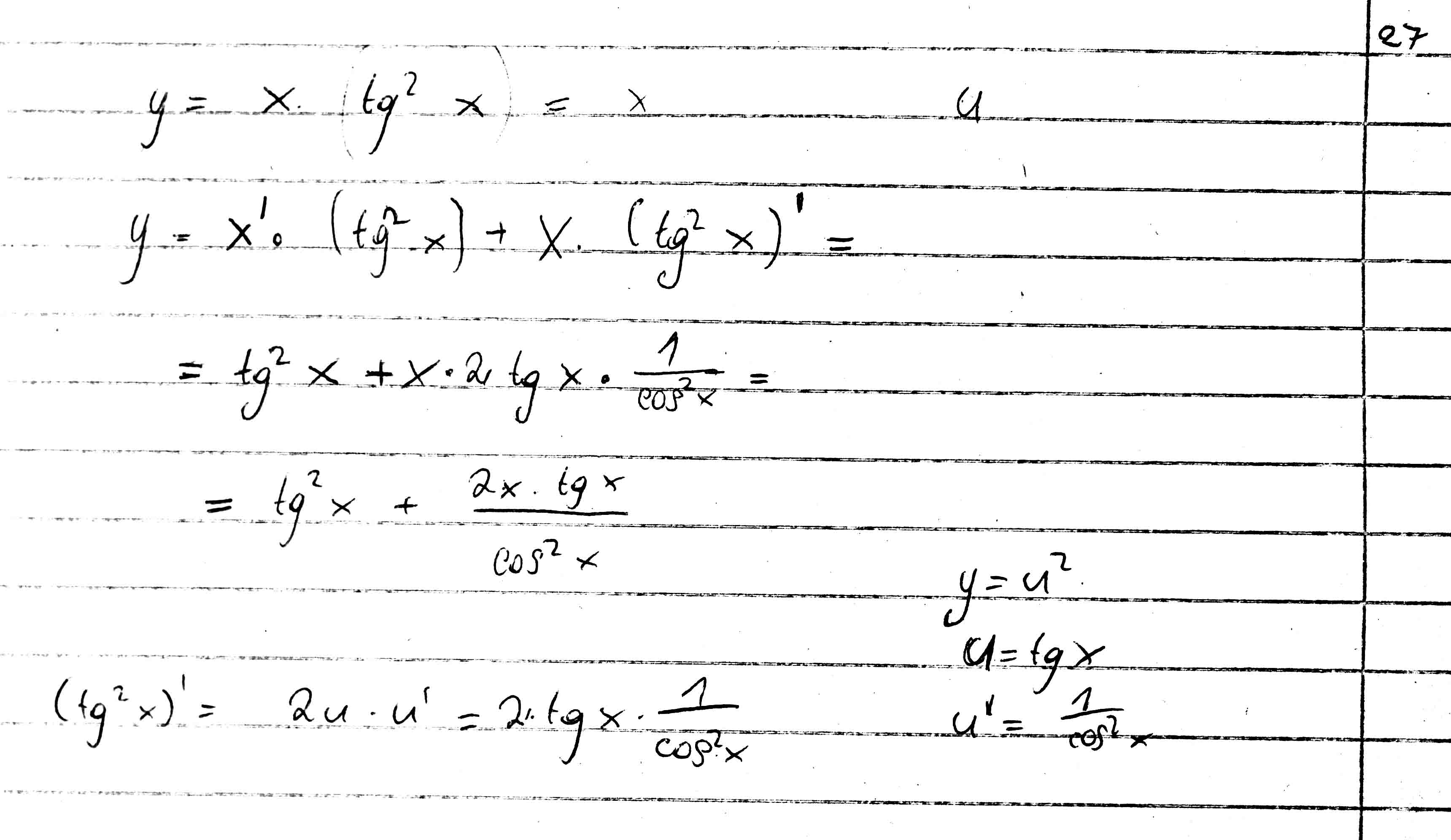
Derivácia zloženej funkcie
(27) 20.2.2013 Štvrtok
- príklady
https://otamuihvxmd7myx5.onion/