Bezpečnejšie je používať HTTPS namiesto http!
(1) 25.8.2016 Scales of measurments - nominal, ordinal, interval scale, ratio scale
(2) 25.8.2016 Probability, Random, Sets
(3) 25.8.2016 Types of events - Union, Intersection, Compliment, Mutually exclusive events, Partition
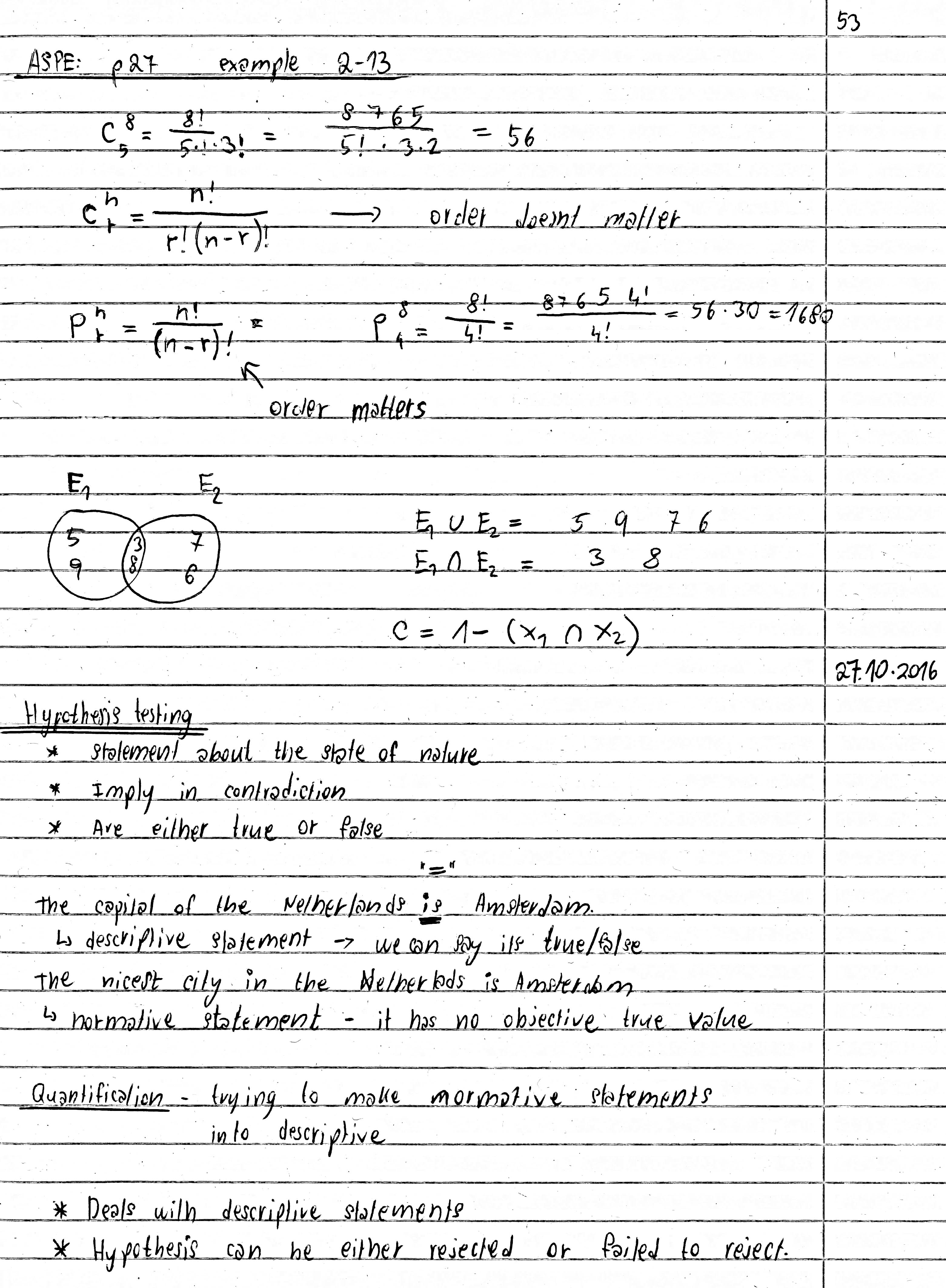
(4) 25.8.2016 Counting, Multiplication, Permutations and Combinations - factorial
(5) 25.8.2016 Basic rules of probability - 1) Probability of an event; 2) Probability of compliment
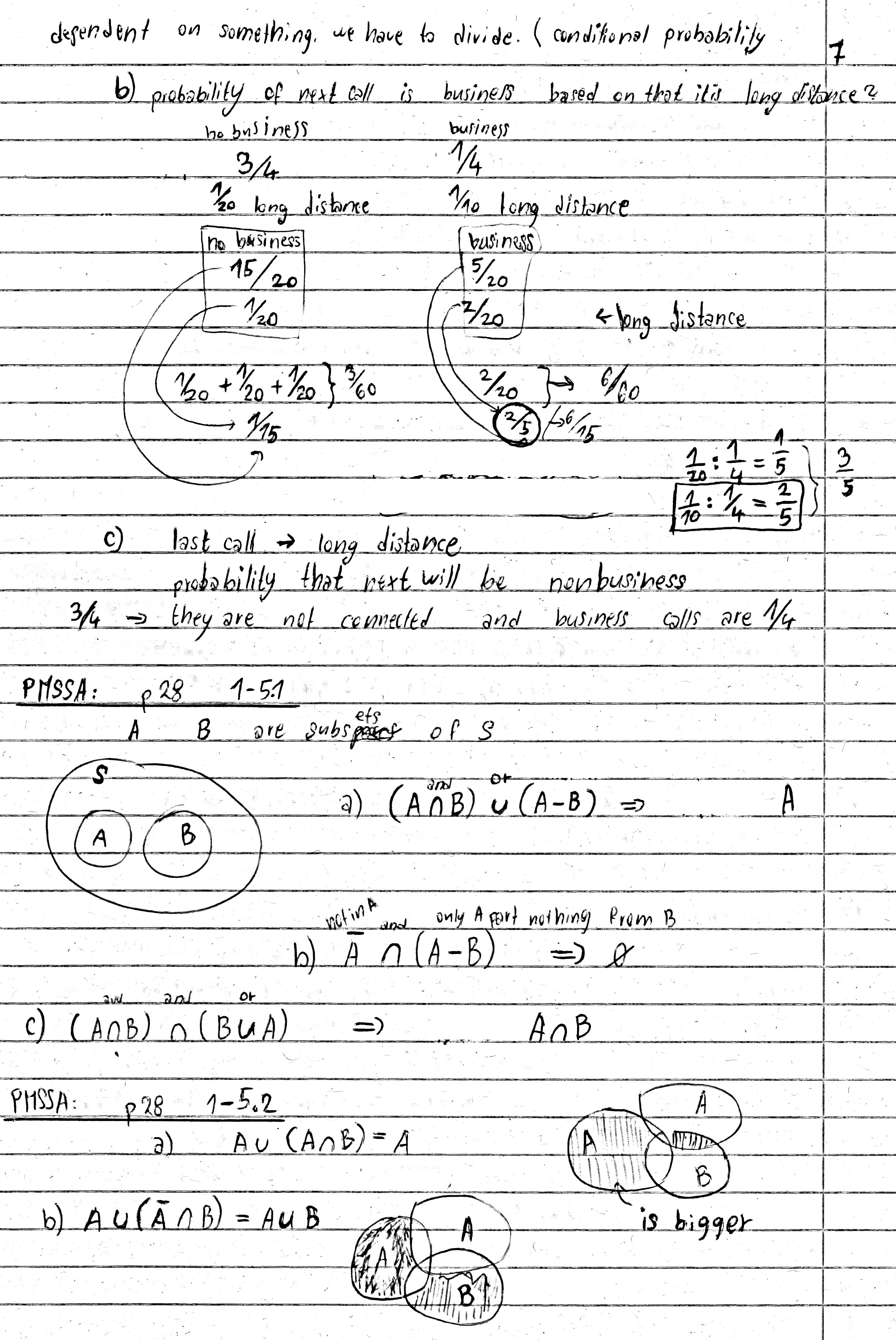
(6) 25.8.2016                                                - 3) Probability of union; 4) Conditional probability
(7) 25.8.2016 Exercises - PMSSA: p28 1-5.1; PMSSA: p28 1-5.2
(8) 1.9.2016 Probability - classic, subjective, empirical
(9) 1.9.2016 Basic rules of probability - probability of an event, complement, union, mutually exclusive events, conditional
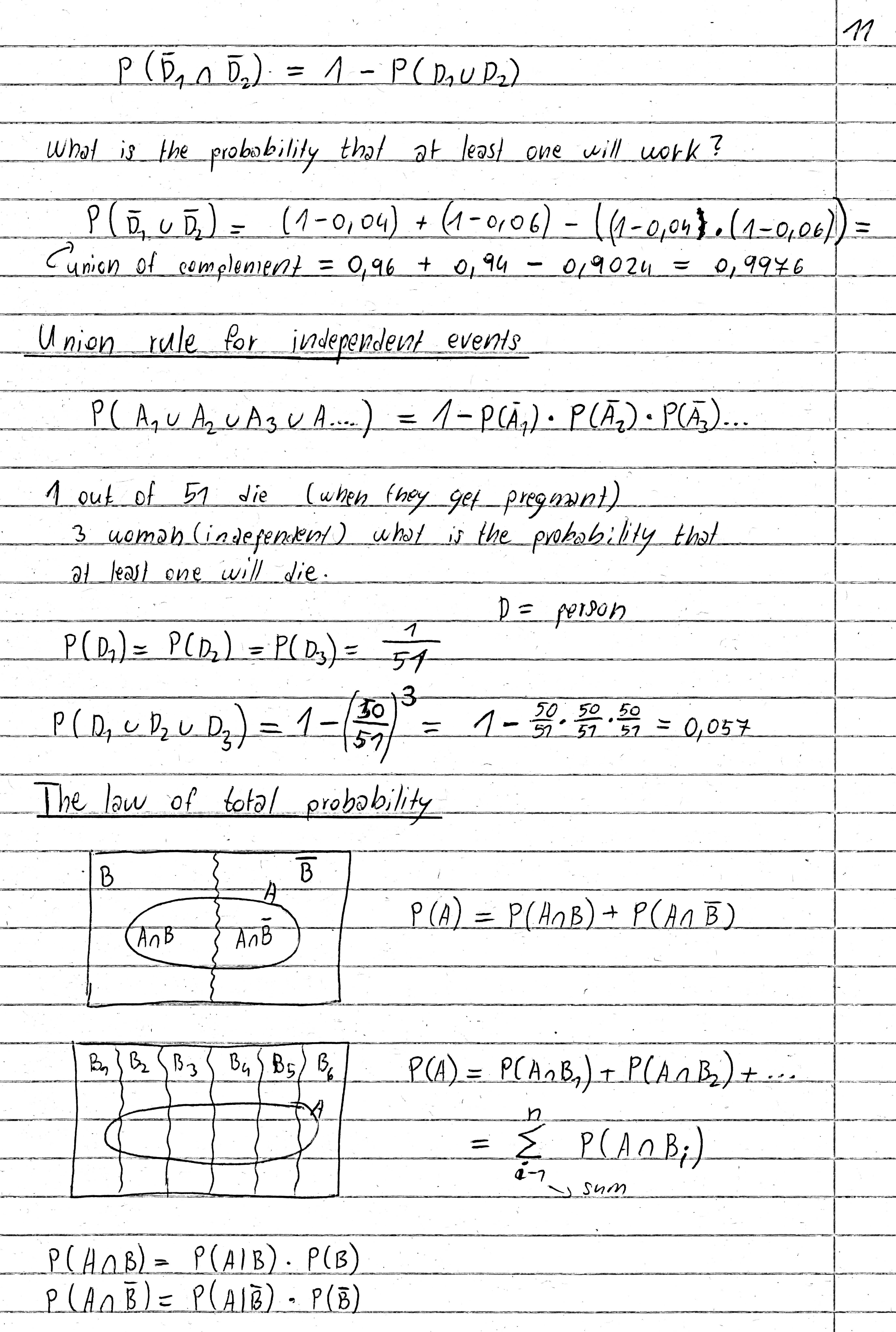
(10) 1.9.2016 Independent events - example
(11) 1.9.2016                                       - union rule for independent events, The law of total probability
(12) 1.9.2016 Exercises - ASPE: p36 2-60
(13) 1.9.2016 Bages theorem
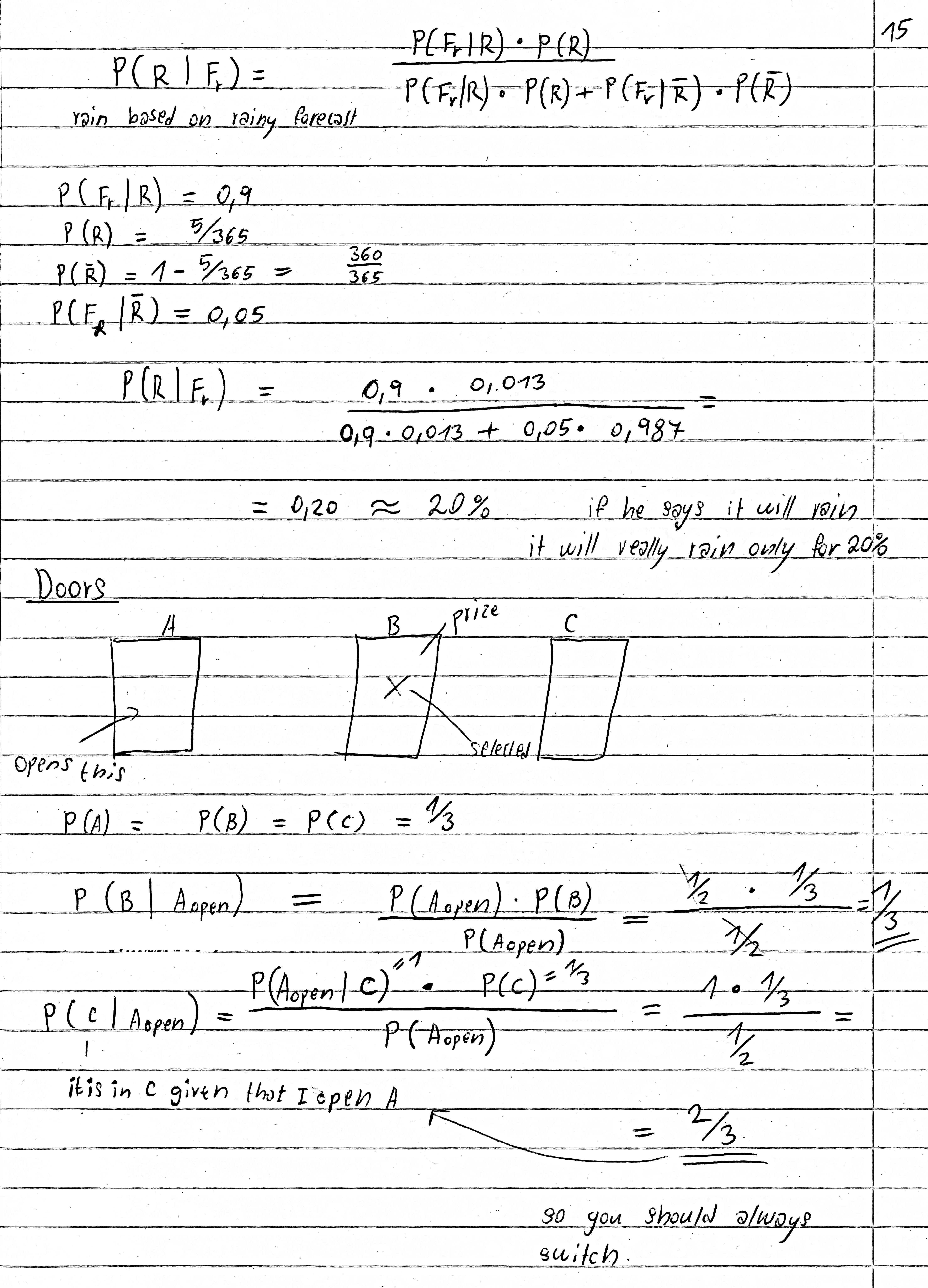
(14) 1.9.2016 Exercises - Probability of AIDS test, probability of rain
(15) 1.9.2016                    - (The?) Doors
(16) 1.9.2016                    - ASPE: p45 2-75; ASPE: p46 2-86;
(17) 1.9.2016                    - ASPE: p49 2-95; ASPE: p50 2-96;
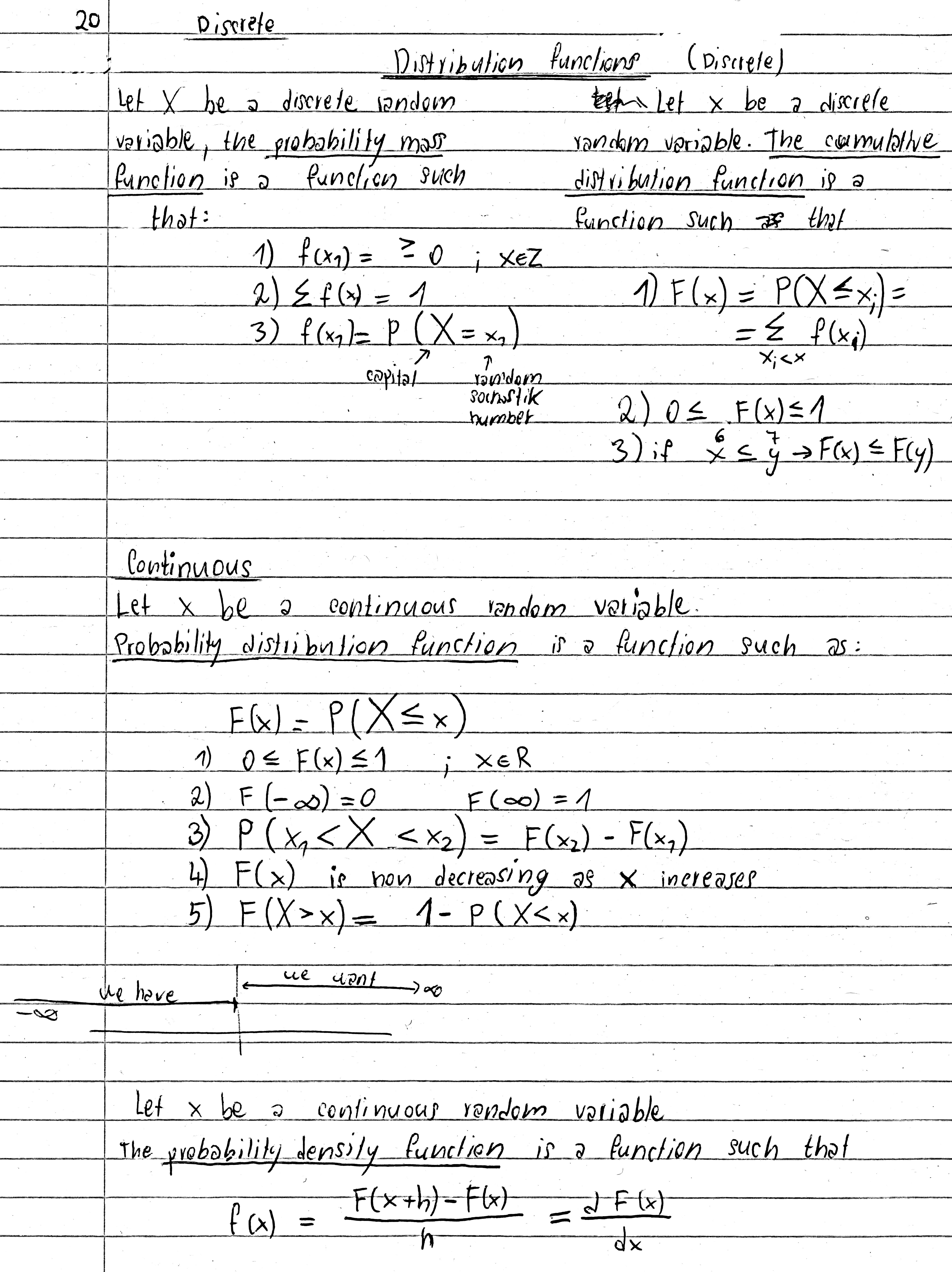
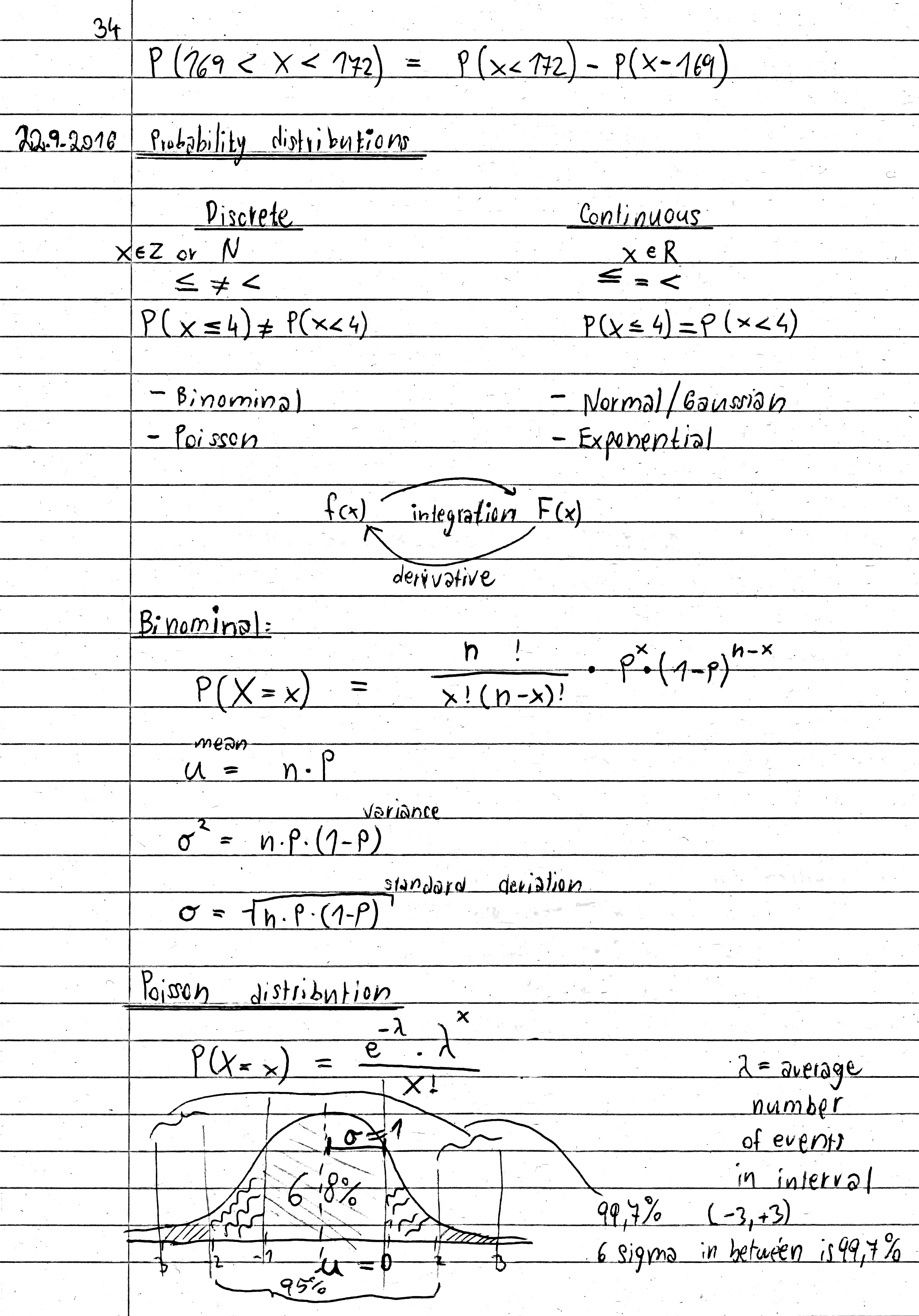
(18) 8.9.2016 Random variables - discrete, continous
(19) 8.9.2016 Exercise - resistors
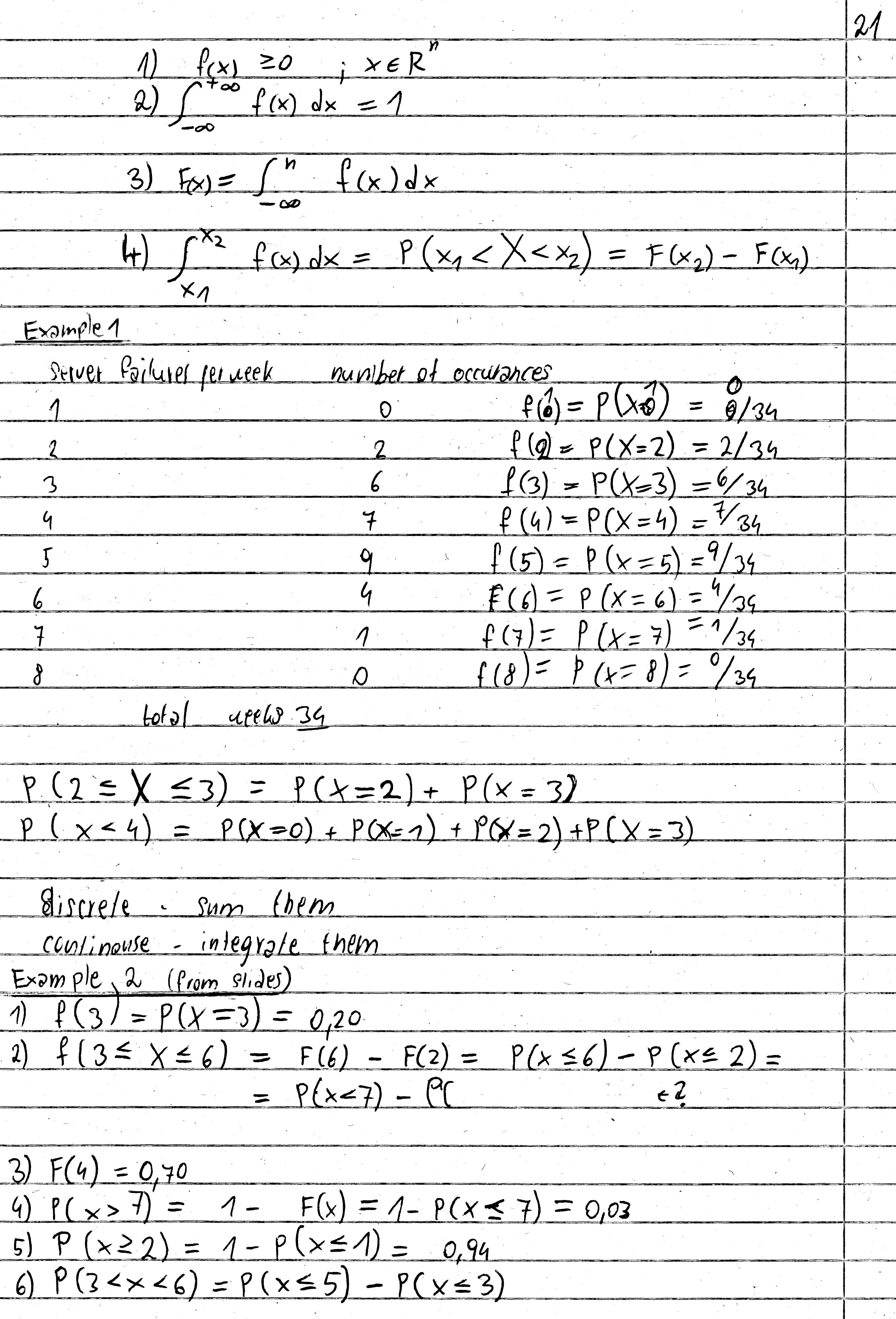
(20) 8.9.2016                                    - Distribution functions
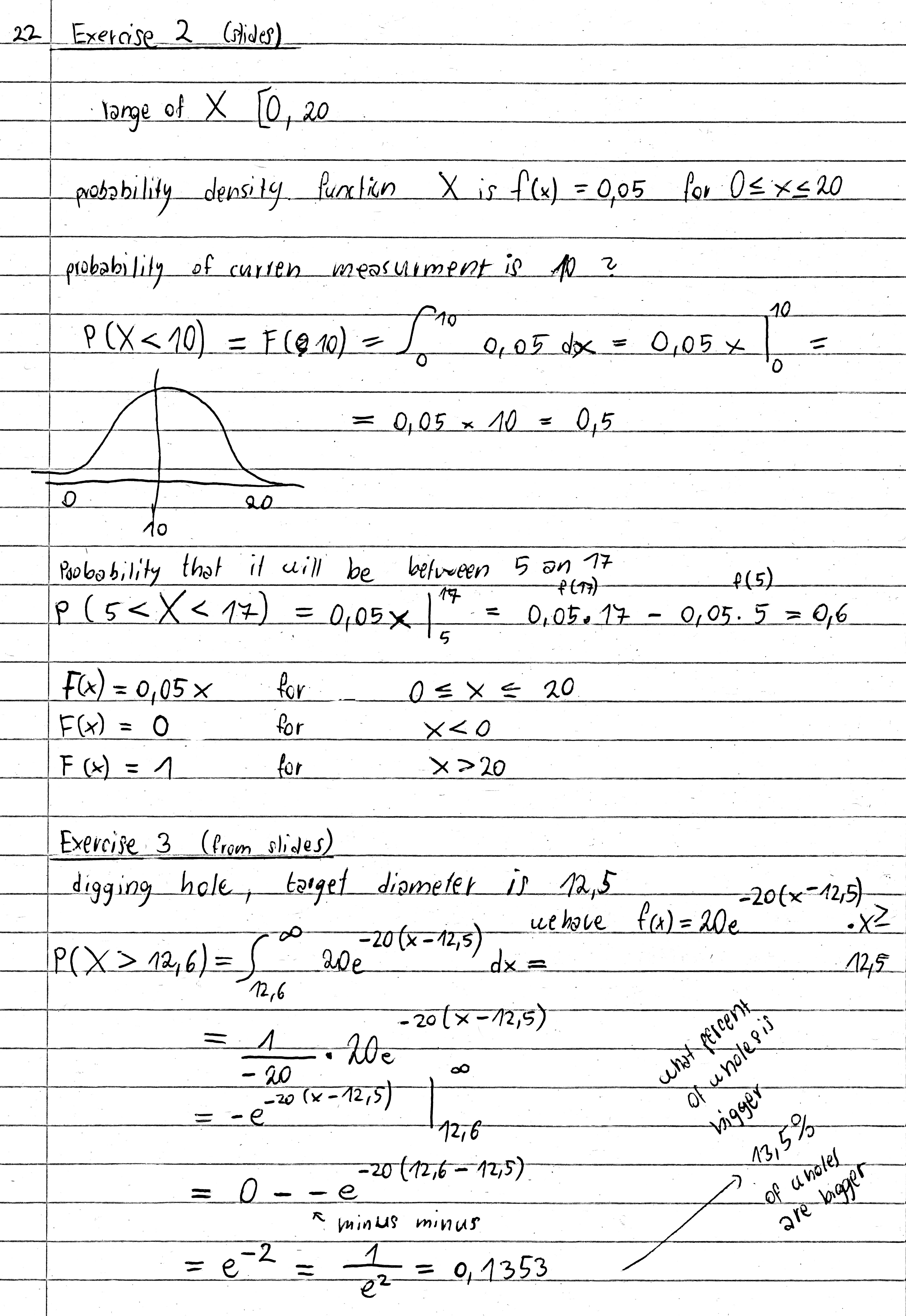
(21) 8.9.2016                                    - Exercise: Example 1; Example 2
(22) 8.9.2016                                    - Exercise: Example 2; Example 3
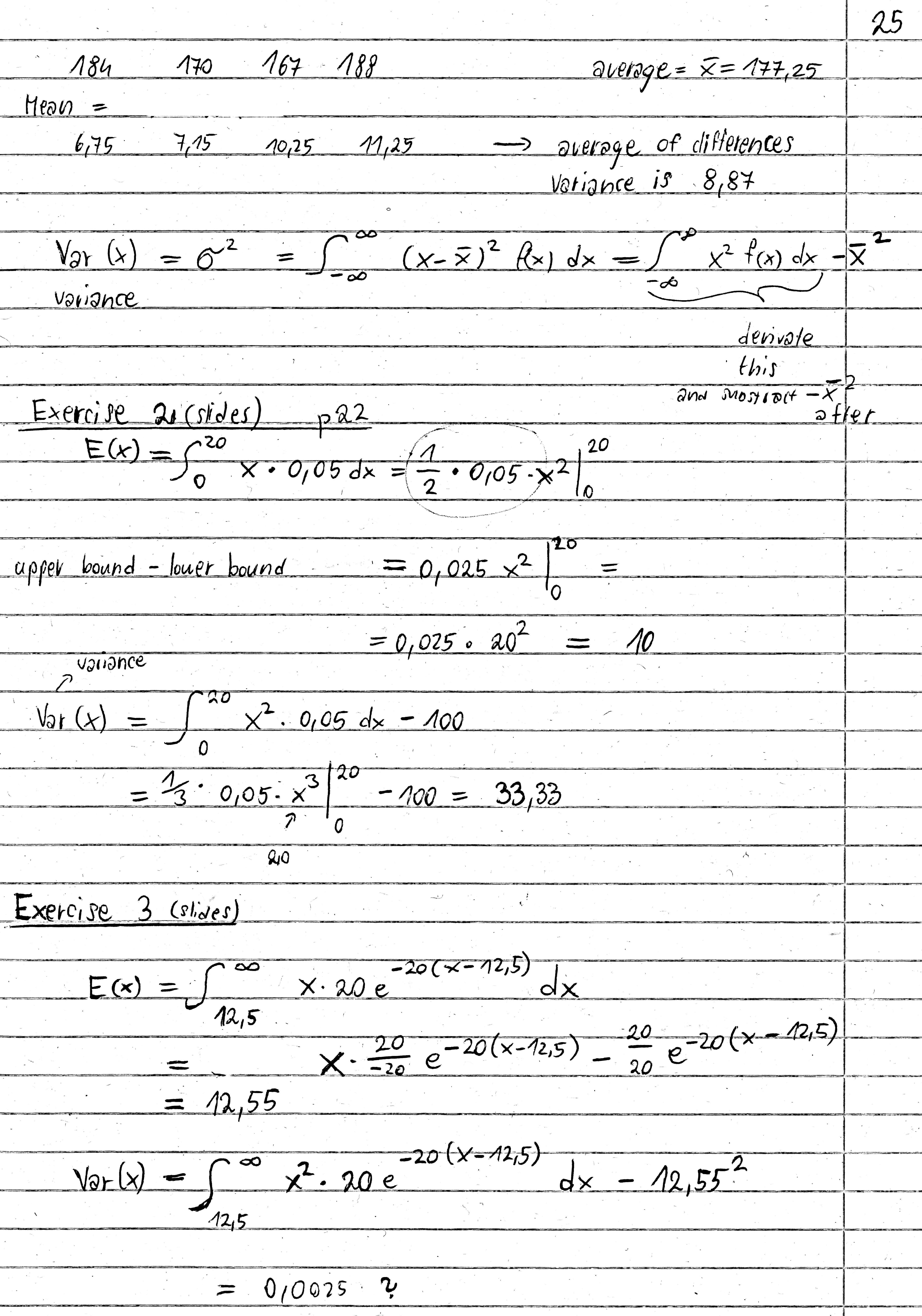
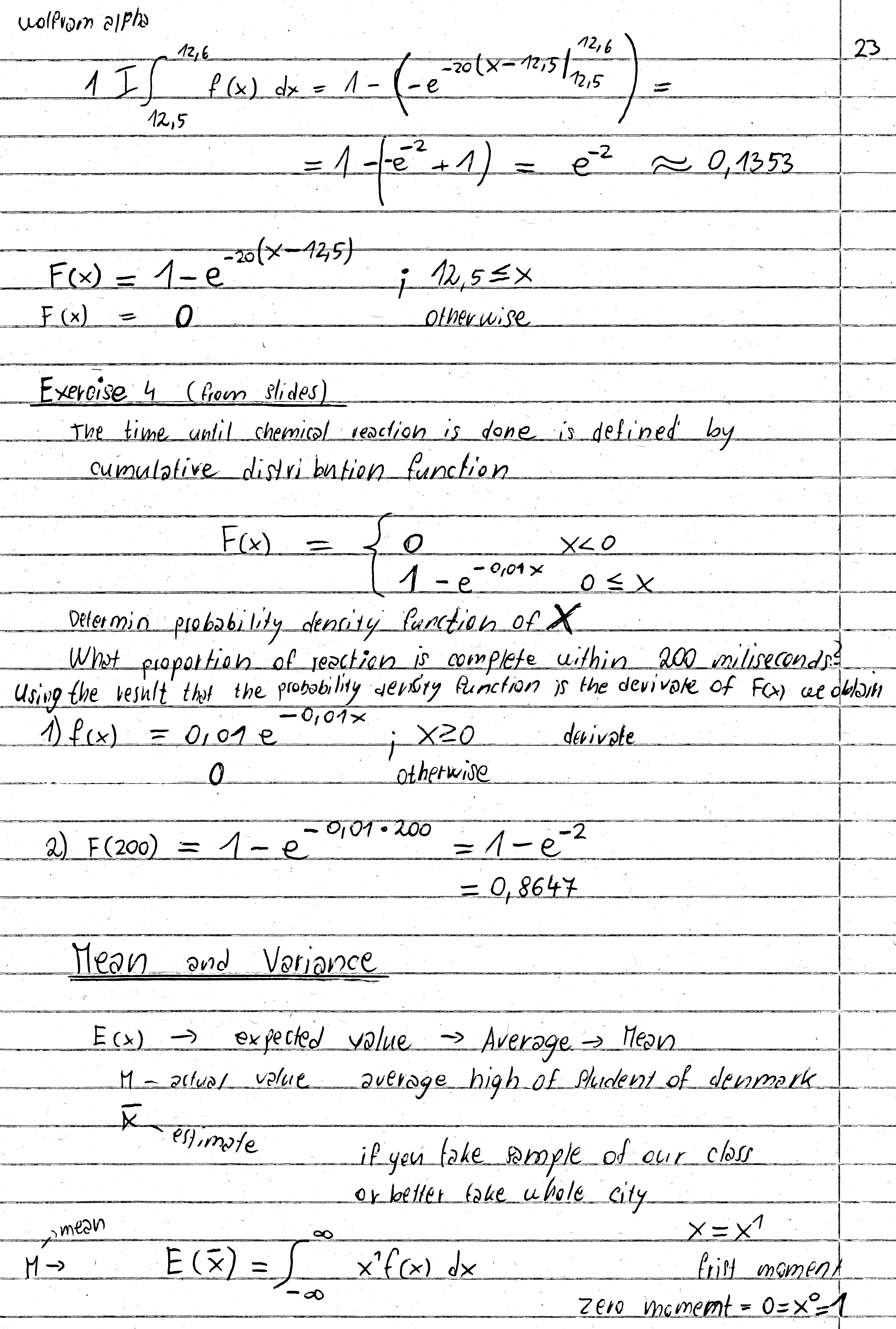
(23) 8.9.2016 Mean and Variance - formula
(24) 8.9.2016                                      - moment
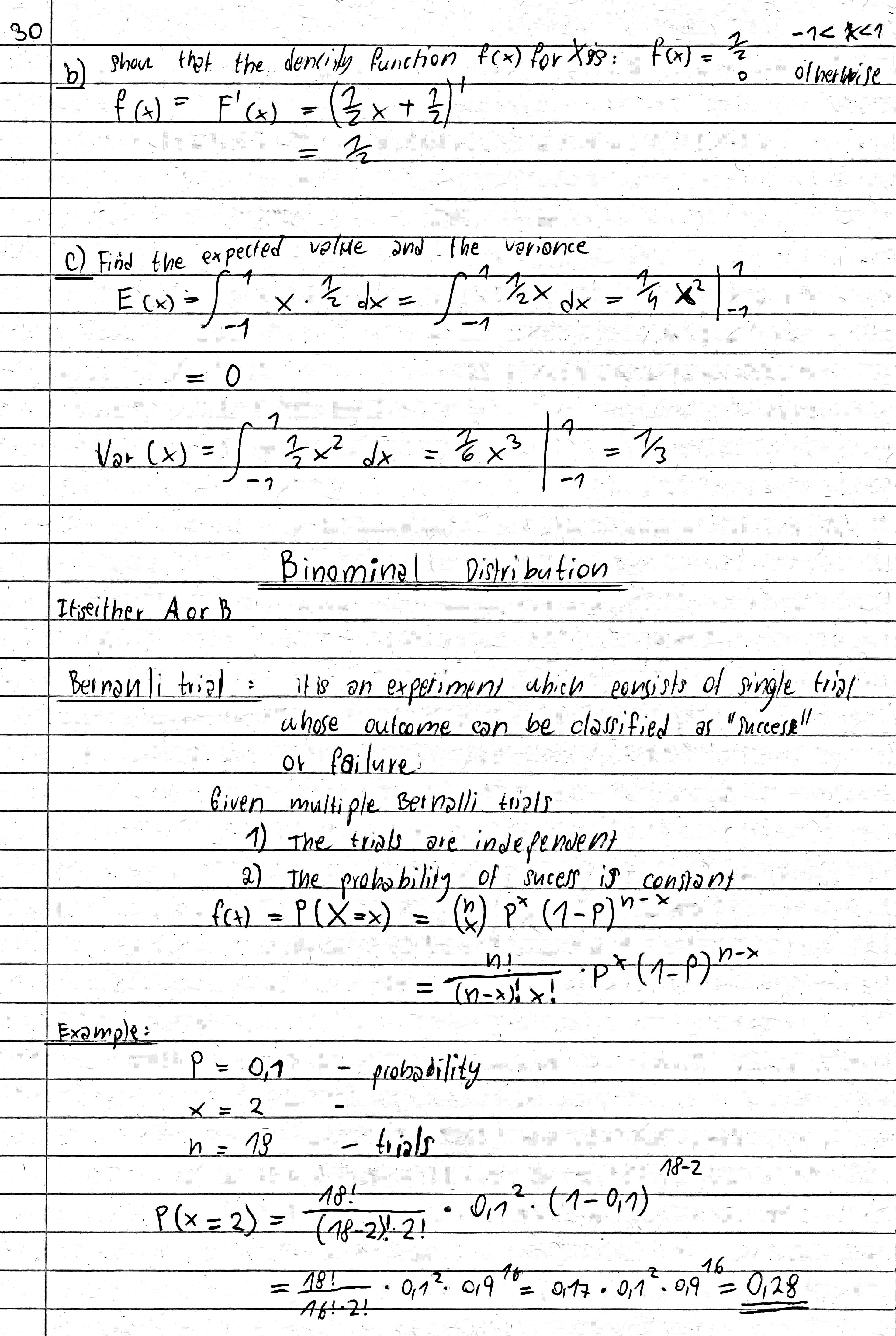
(25) 8.9.2016                                      - Exercise: 2; 3
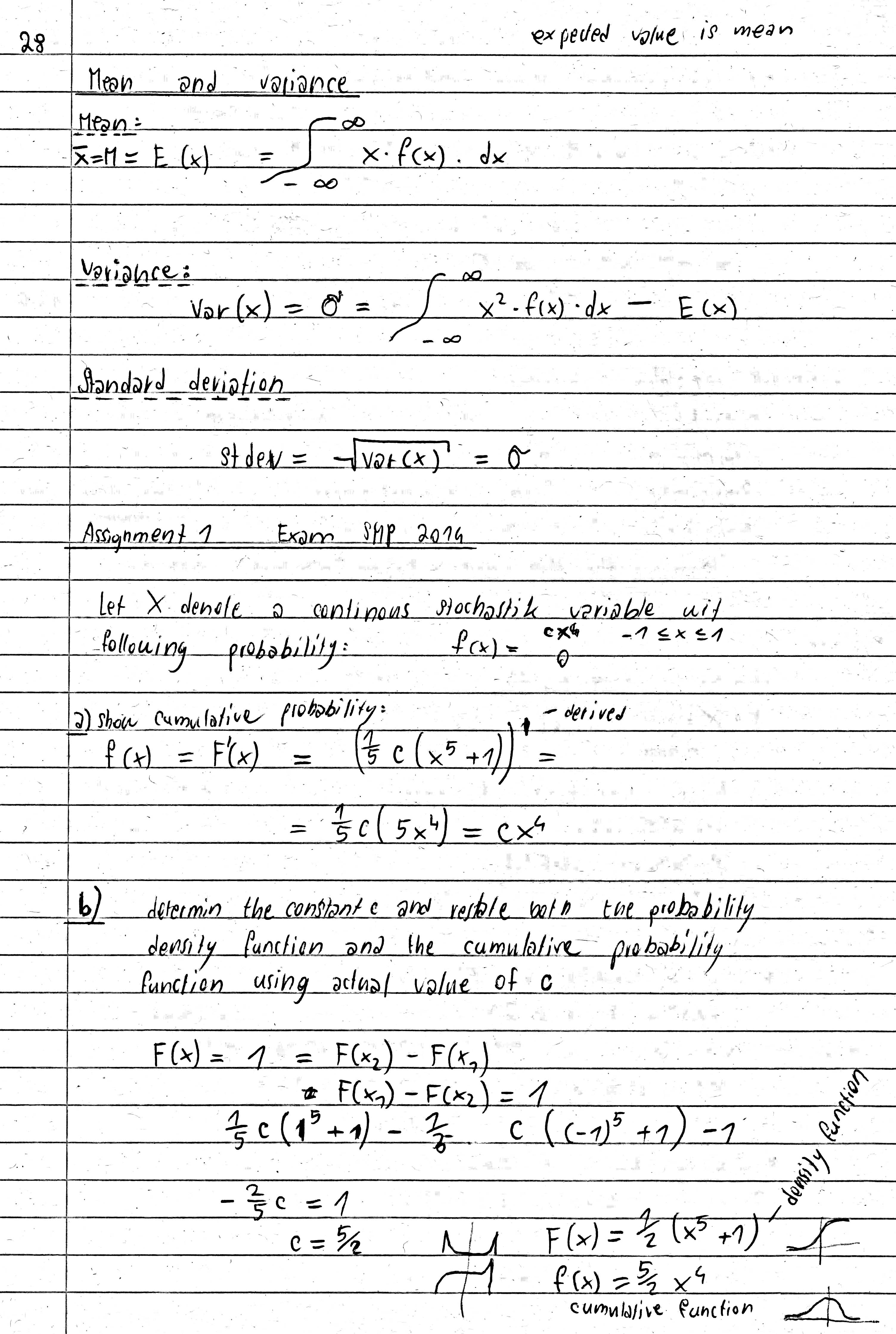
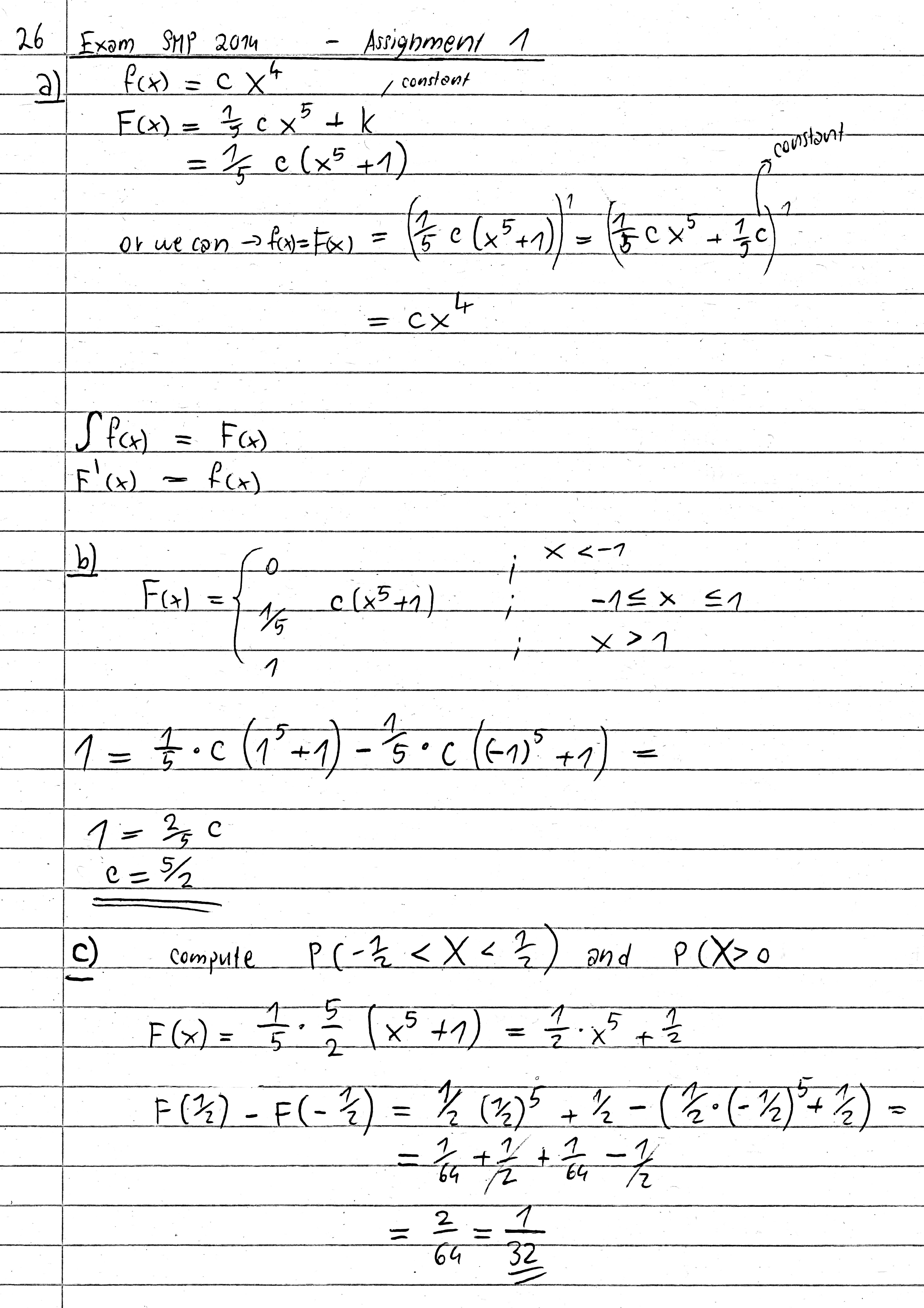
(26) 8.9.2016 Exam SMP 2014 - Assignment 1 (a; b; c)
(27) 15.9.2016                               - Assignment 1 (d), Stochastik variables
(28) 15.9.2016 Examples - Exam SMP 2014 - Assignment 1
(29) 15.9.2016                    - Exam SMP 2015 - Assignment 1
(30) 15.9.2016 Binominal distribution
(.ods) 15.9.2016                    - Example of functions
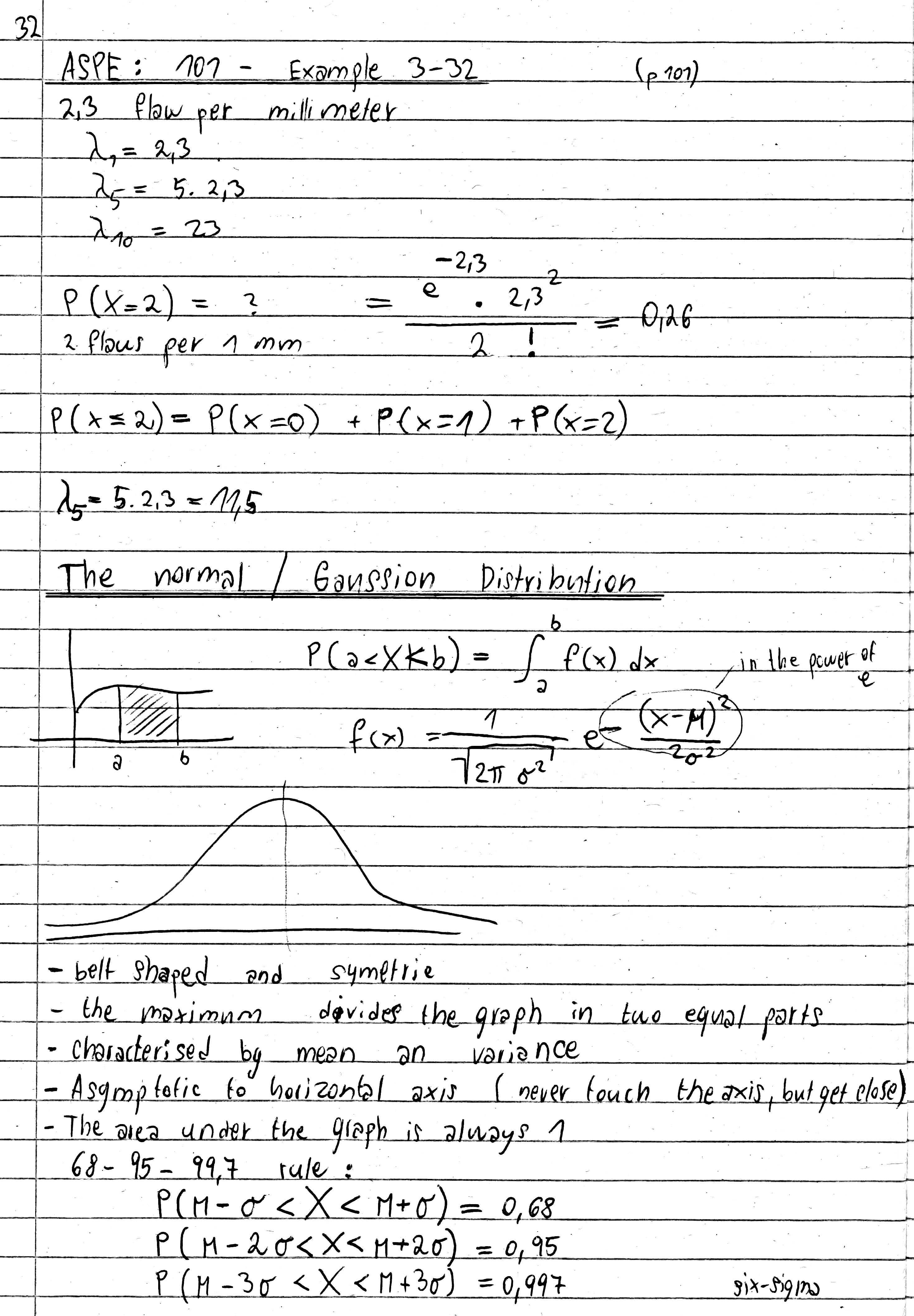
(31) 15.9.2016 Poison distribution
(32) 15.9.2016 The normal / Gaussion distribution
(33) 15.9.2016                    - The standard normal distribution; Standardization
(34) 22.9.2016 Binominal, Poisson distribution
(35) 22.9.2016 Samples - standard error
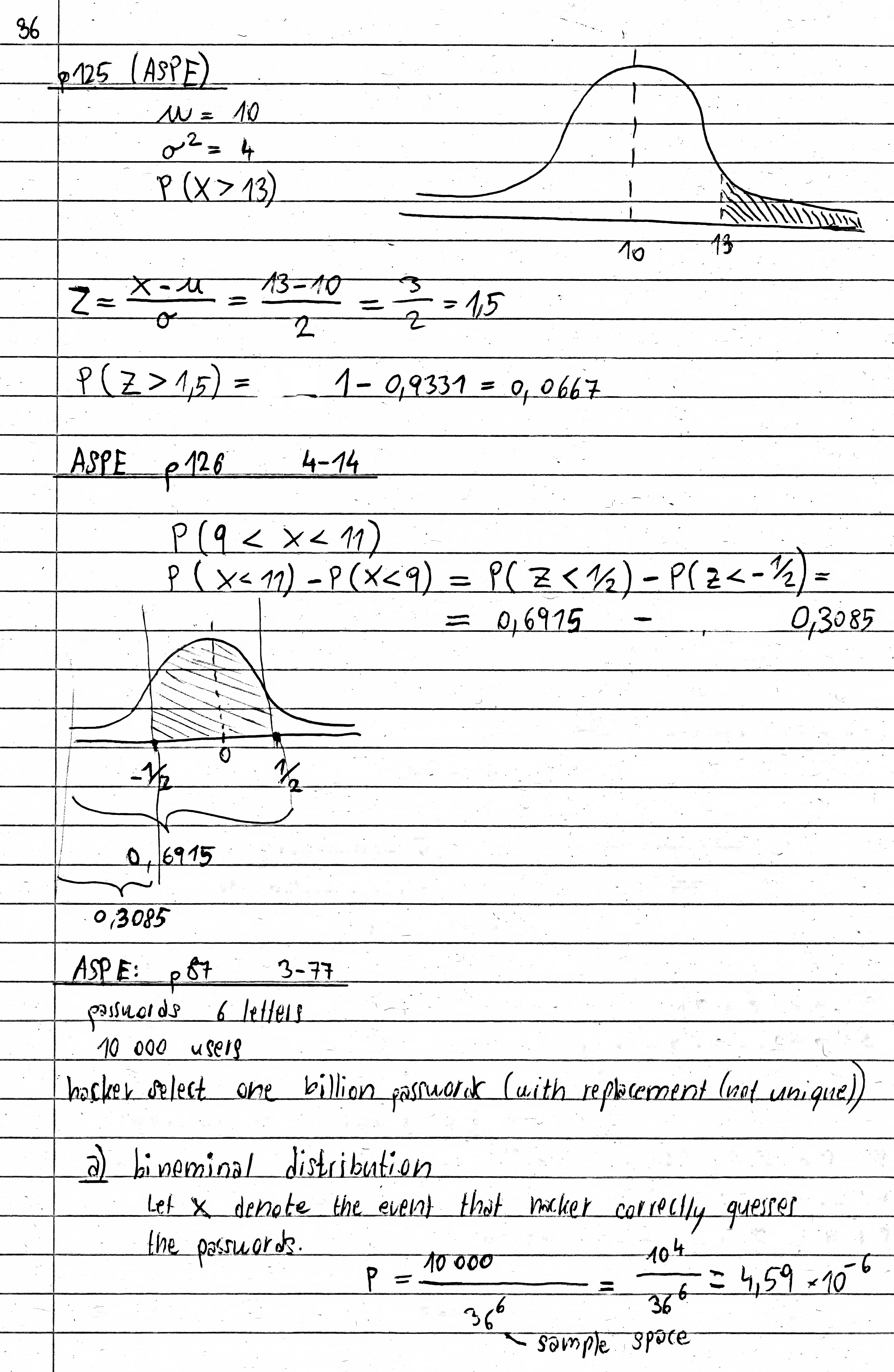
(36) 22.9.2016 Exercises - ASPE: p125; ASPE p126 4-14; ASPE: p87 3-77
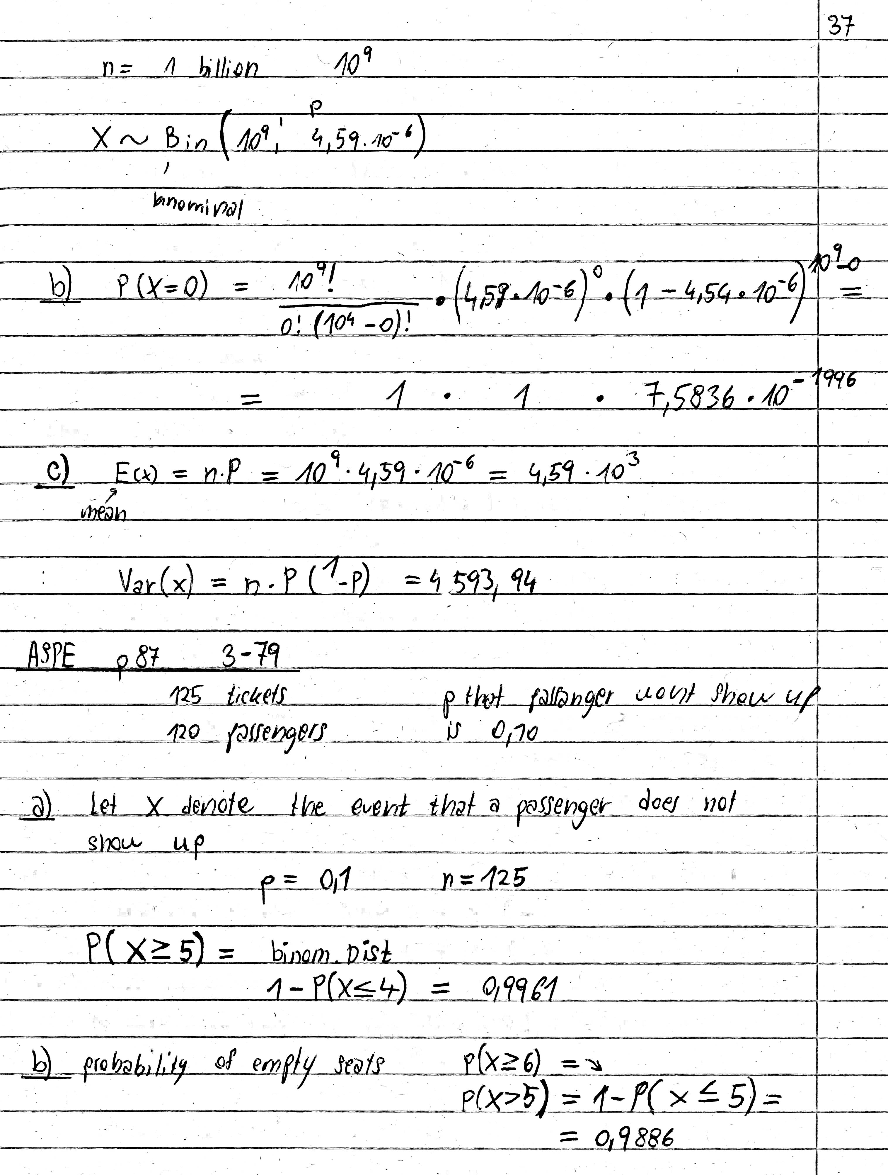
(37) 22.9.2016                   - ASPE: p87 3-79
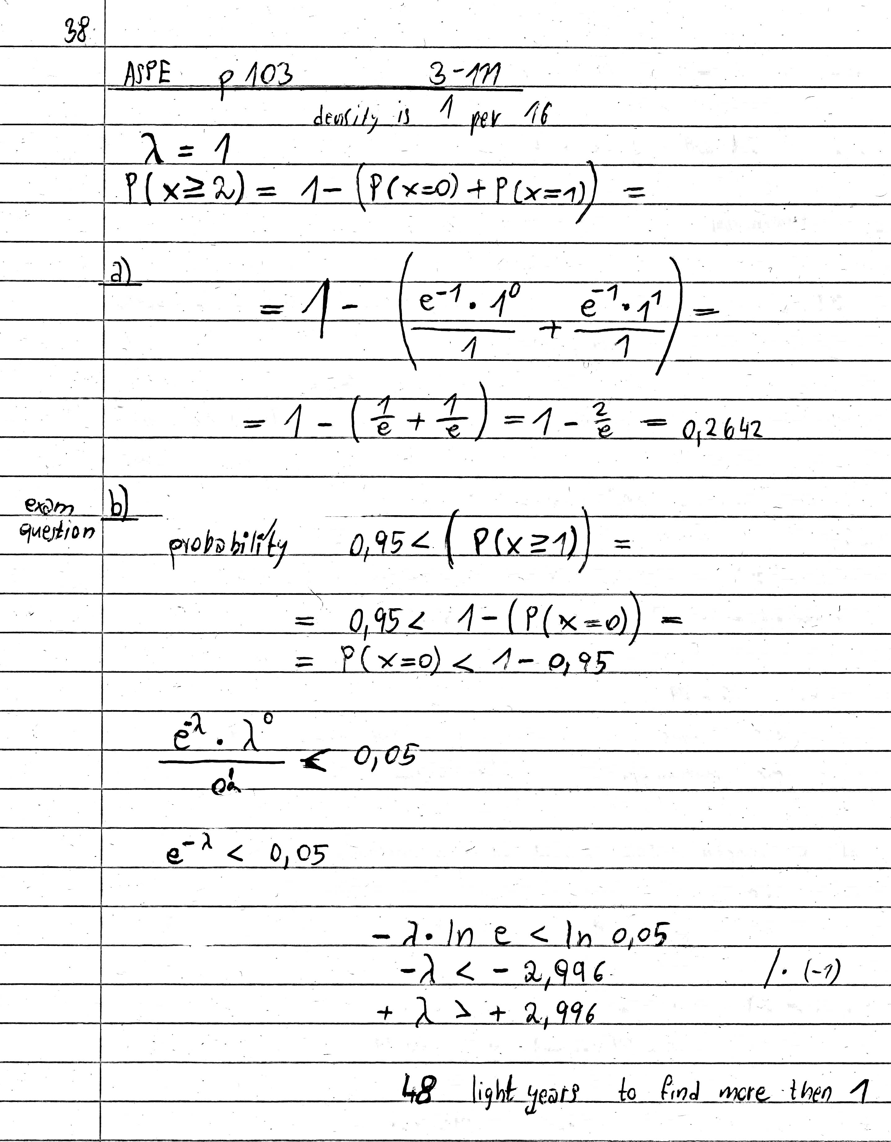
(38) 22.9.2016                   - ASPE: p103 3-111
(39) 22.9.2016                   - ASPE: p104 3-115; ASPE: p105 3-124
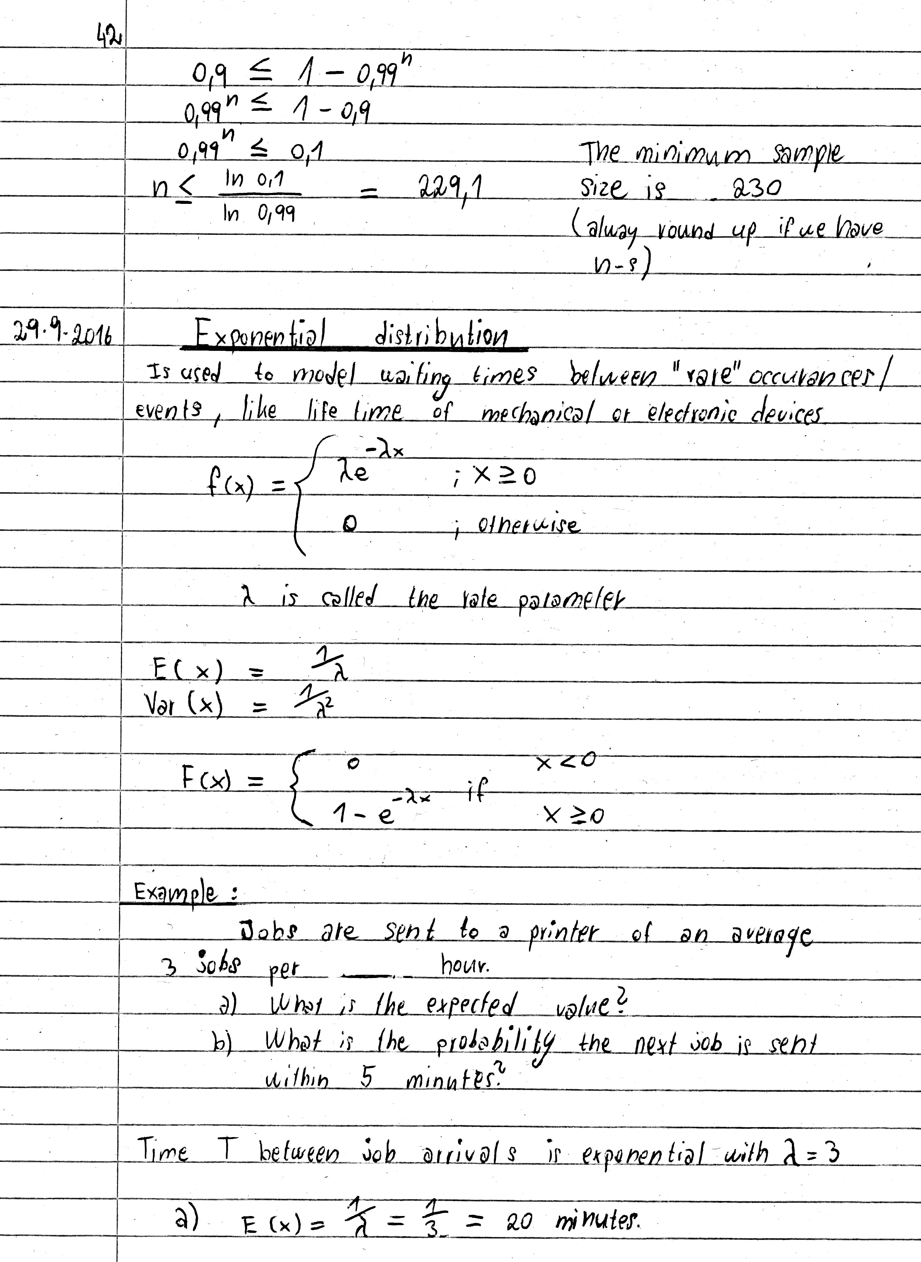
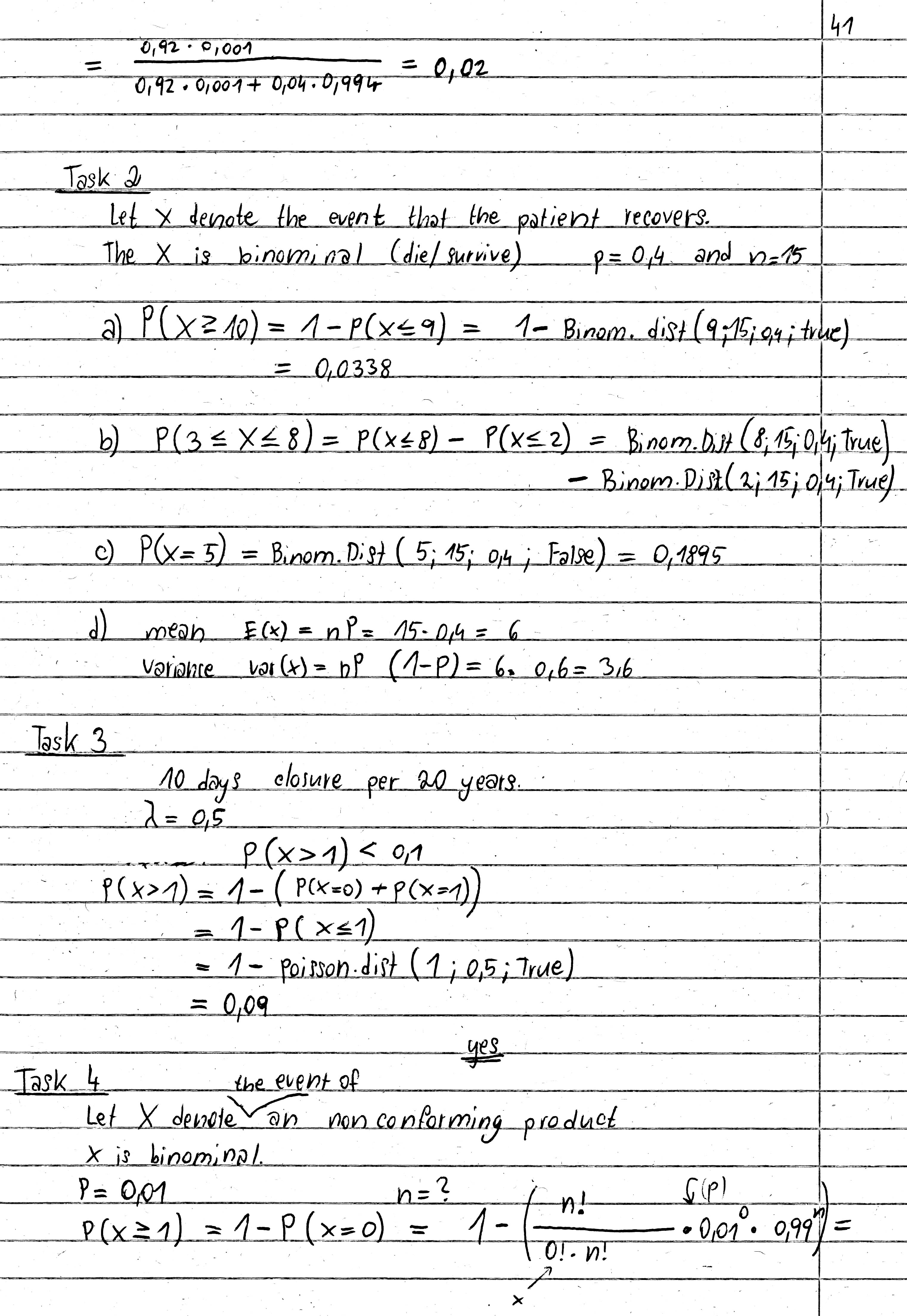
(40) 22.9.2016                   - ASPE: p106 3-142; Aditional assignments 2016 (Task 1)
(41) 22.9.2016                   - Aditional assignments 2016 (Task 2; Task 3; Task 4)
(42) 29.9.2016 Exponetial distribution - Example
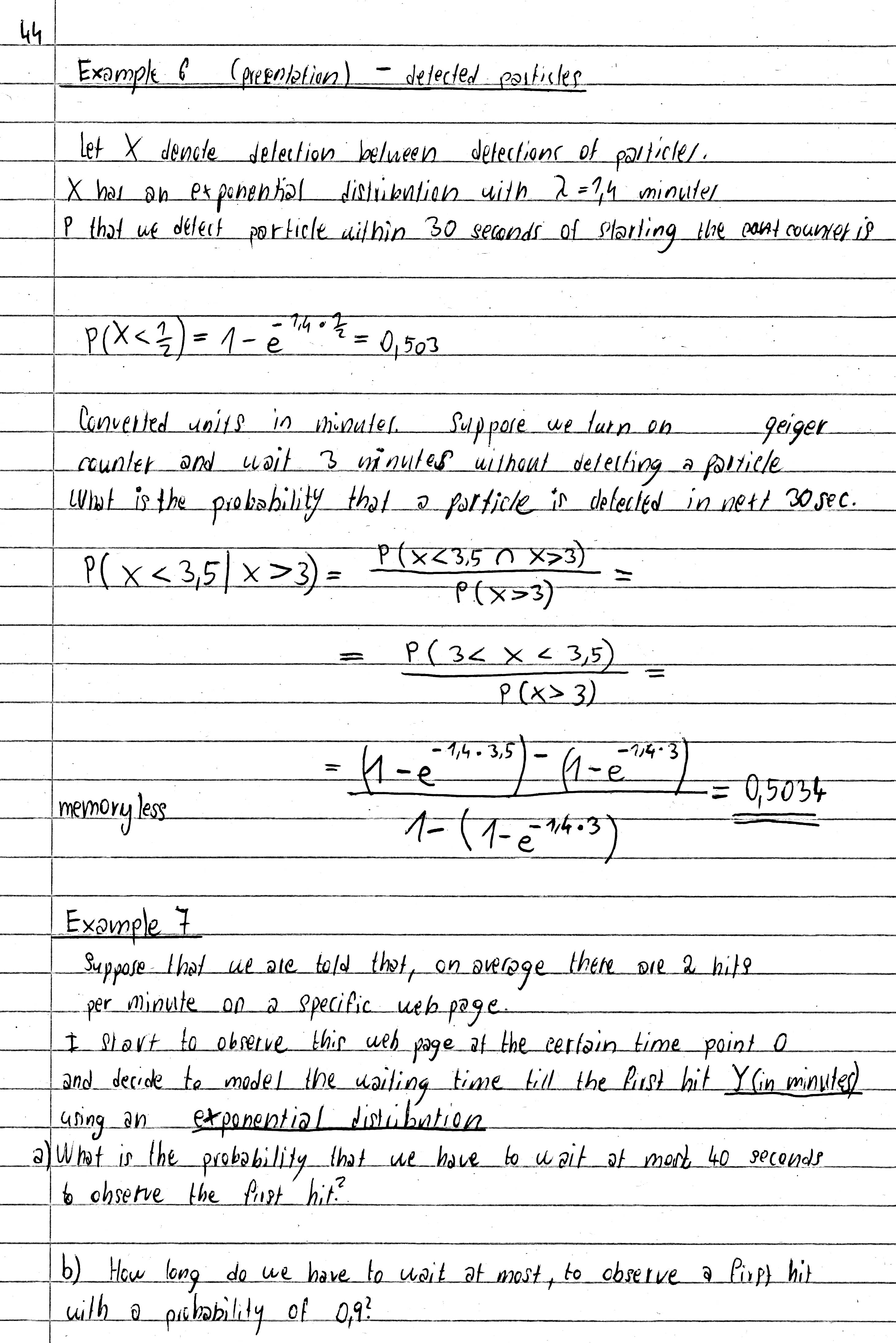
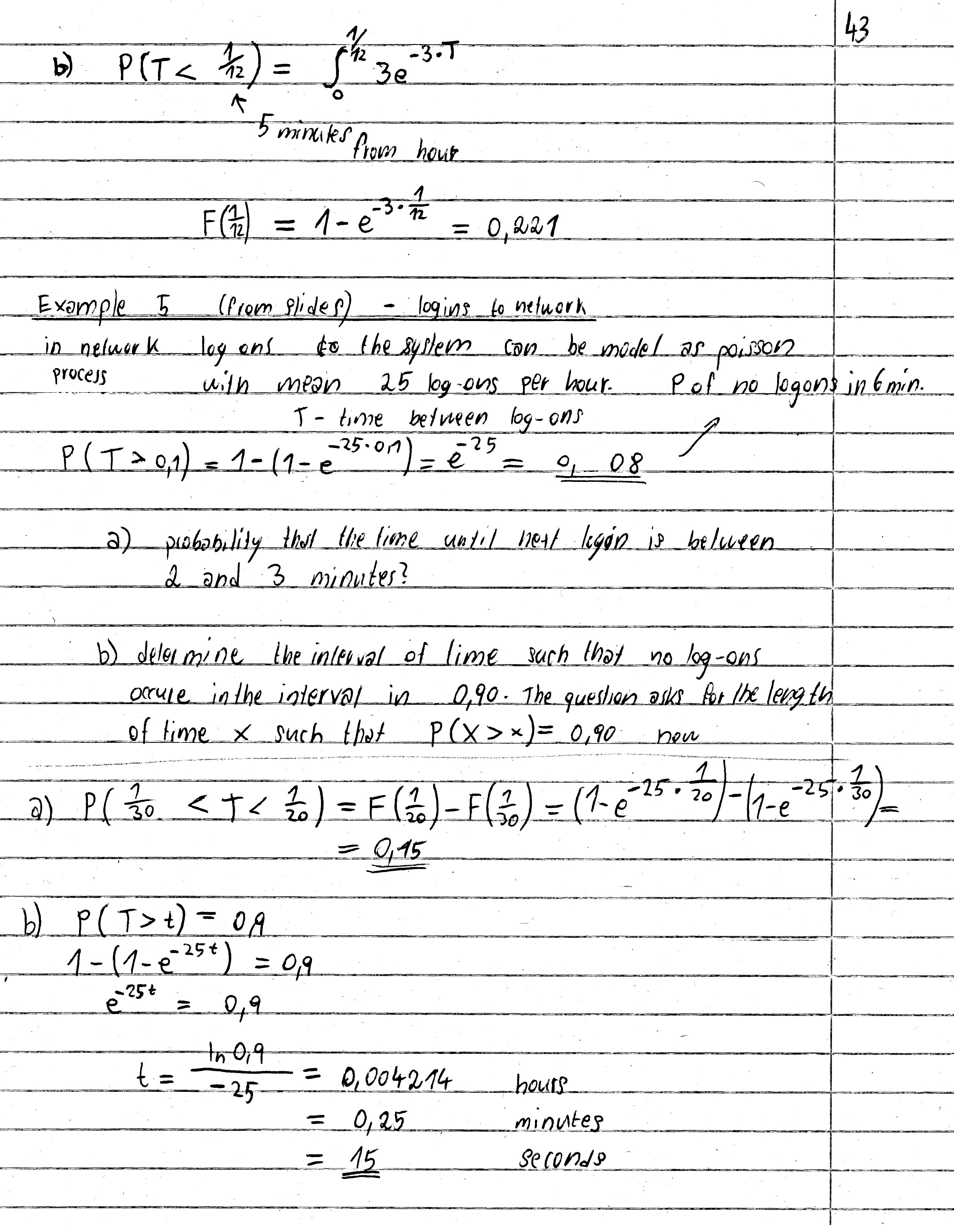
(43) 29.9.2016                                             - Example 5 (from slides) - logins to network
(44) 29.9.2016                                             - Example 6 (from slides) - detected particles; Example 7
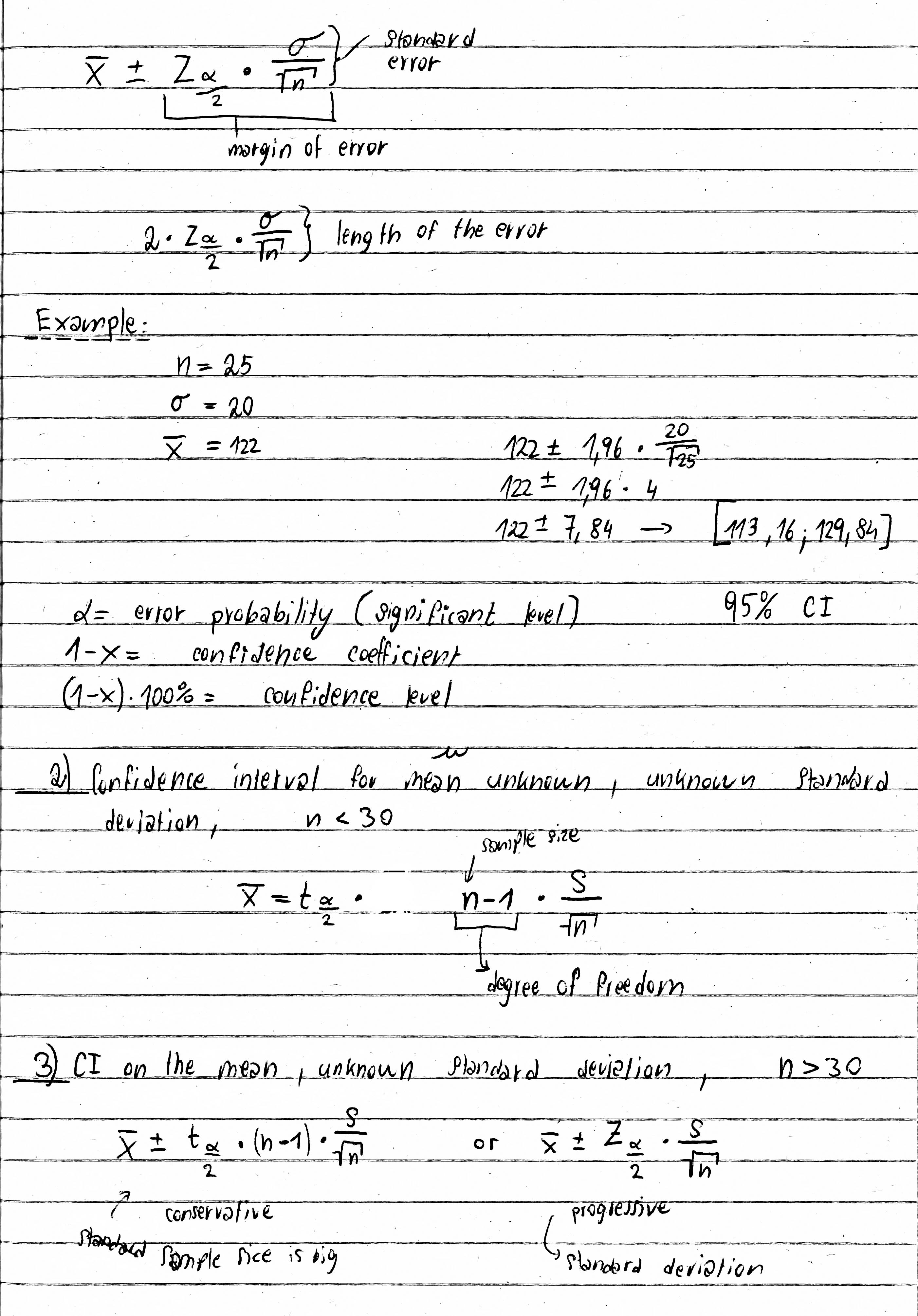
(45) 29.9.2016                                             - ASPE: p129 4-50
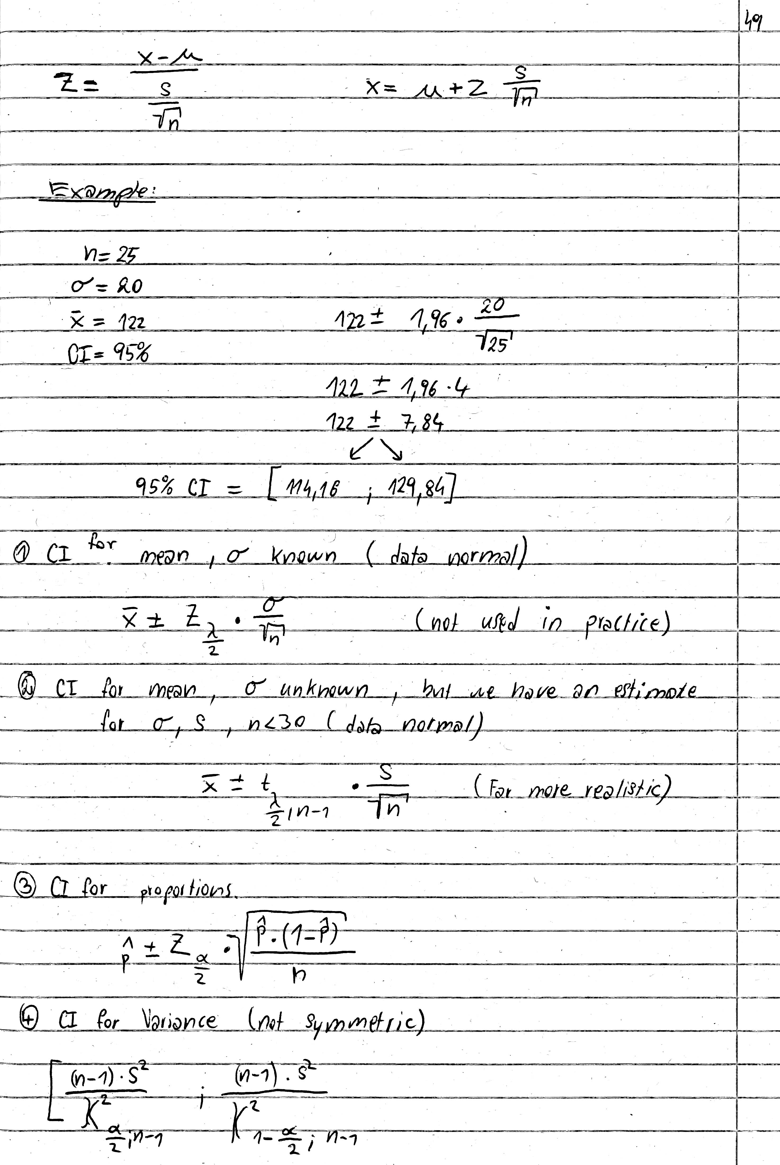
(46) 29.9.2016 Confidence Intervals - 1) CI for mean and standard deviation when they are known
(47) 29.9.2016                                        - 2) CI for u unknown and o unknown; 3) CI u known and o unknown
(48) 6.10.2016                                        - 4) Large sample CI for population proportion; 5) CI for u/o
(49) 6.10.2016                                        - example
(50) 6.10.2016 Hypothesis Testing
(51) 6.10.2016                                     - Type 1 error; Type 2 error
(52) 6.10.2016                                     - Example
(53) 27.10.2016 Exercise - ASPE: p27 2-13; Hypothesis testing; Quantification
(54) 27.10.2016                                     - Types of hypothesis
(55) 27.10.2016                                     - 3 types of hypothesis
(56) 27.10.2016 Exam info
(57) 27.10.2016 Example;                   - P-value
(58) 27.10.2016                                     - Evaluating hypotheses
(59) 27.10.2016                                     - Steps to setup hypothesis testing
(60) 27.10.2016                                     - Paired test; Contingency table test; Test statistic
(61) 3.11.2016 How do we test for normality - Exam SMP 2014: Assignment 2 { a) }
(62) 3.11.2016                                                        - Exam SMP 2014: Assignment 2 { b); c) }
(63) 3.11.2016 Linear regression
(64) 10.11.2016 Correlation coefficient, Linear regression
(65) 10.11.2016 Linear regression - a regression analysis (1;2;3;4;5)
(66) 10.11.2016                                   - a regression analysis (steps 1;2;3)
(.ods) 10.11.2016                                   - a regression analysis (steps)
(67) 10.11.2016                                   - a regression analysis (steps 3;4;)
(68) 10.11.2016                                   - a regression analysis (steps 5;)
(69) 10.11.2016                                   - a regression analysis (steps 6;)
(70) 17.11.2016 Exam SMP E2015 - Assignment 1, Assignment 2
(71) 17.11.2016                                  - Assignment 3, Assignment 4 a)
(72) 17.11.2016                                  - Assignment 4 b), c)
(73) 17.11.2016 Exam SMP 2014 - Assignment 1
(74) 17.11.2016                                - Assignment 1
(75) 17.11.2016                                - Defenet integrals, Assignment 2
(76) 17.11.2016                                - Assignment 3 a) b) c)
(77) 17.11.2016                                - Assignment 3 d) e)